Официальное опубликование правовых актов
ОФИЦИАЛЬНОЕ ОПУБЛИКОВАНИЕ
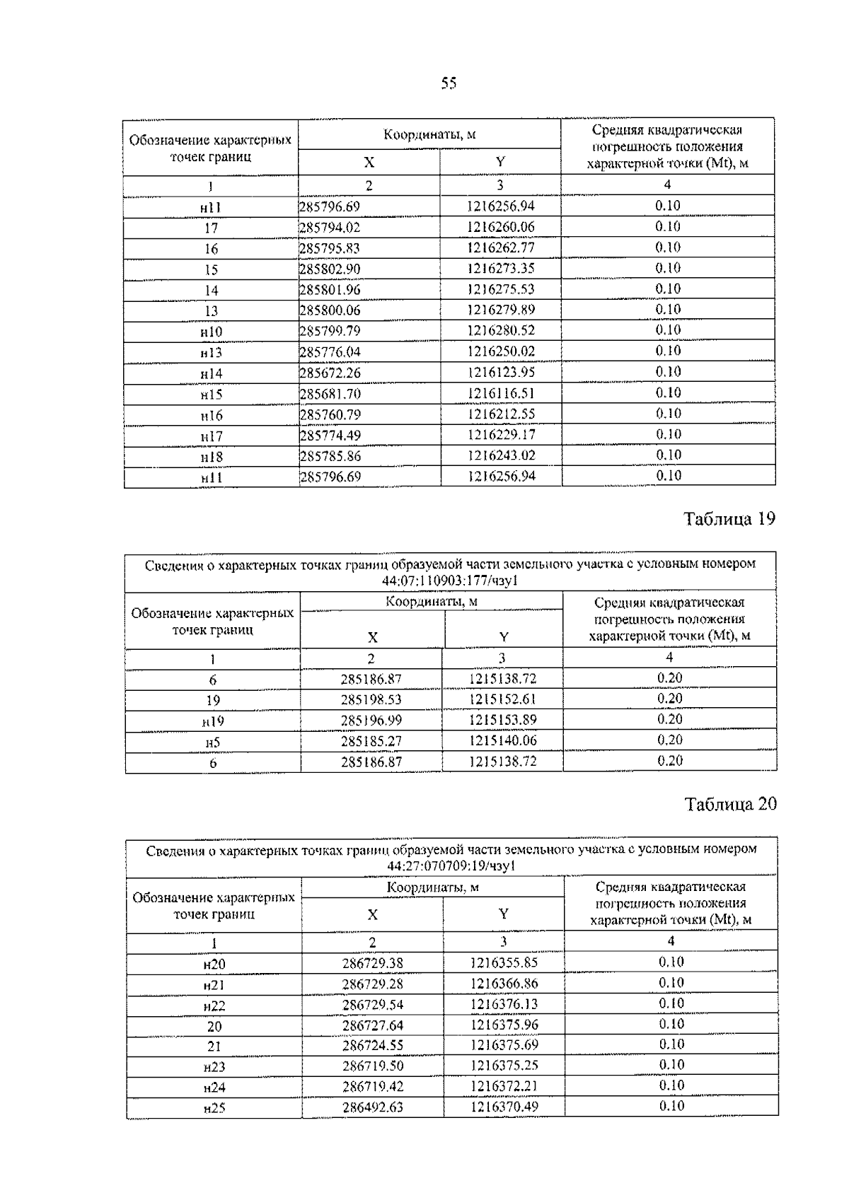
Приказ Комитет архитектуры и градостроительства Костромской области от 18.12.2023 № 25
"Об утверждении документации по планировке территории для размещения линейного объекта: "Строительство канализационного дюкера через р. Волга и ГСН-3 по адресу: ул. Юбилейная, д. 65 в городе Костроме"
(Зарегистрирован 22.12.2023 № 725)
Номер опубликования: 4401202312250001
Дата опубликования: 25.12.2023
Страница №56 из 64:
Увеличить