Приказ Инспекции по охране объектов культурного наследия Костромской области от 14.10.2022 № 167
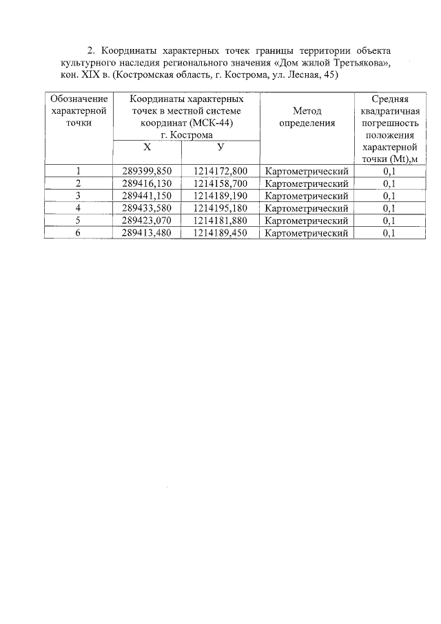
"Об утверждении границы и правового режима использования территории объекта культурного наследия регионального значения "Дом жилой Третьякова", кон. XIX в. (Костромская область, г. Кострома, ул. Лесная, 45)"
"Об утверждении границы и правового режима использования территории объекта культурного наследия регионального значения "Дом жилой Третьякова", кон. XIX в. (Костромская область, г. Кострома, ул. Лесная, 45)"
Номер опубликования: 4401202210140002
Дата опубликования:
14.10.2022
