Официальное опубликование правовых актов
ОФИЦИАЛЬНОЕ ОПУБЛИКОВАНИЕ
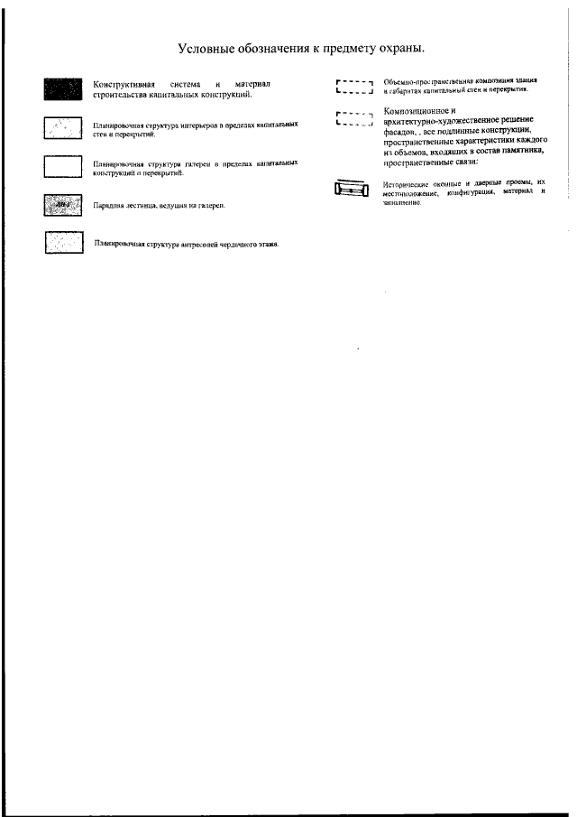
Приказ инспекции по охране объектов культурного наследия Костромской области от 05.02.2019 года № 9
"Об утверждении предмета охраны объекта культурного наследия федерального значения "Ансамбль Торговых рядов, XVIII - XIX вв.: корпус №2", расположенного по адресу: Костромская область, г. Солигалич"
Номер опубликования: 4401201902080002
Дата опубликования: 08.02.2019
Страница №7 из 7:
Увеличить