Официальное опубликование правовых актов
ОФИЦИАЛЬНОЕ ОПУБЛИКОВАНИЕ
Постановление администрации Костромской области от 30.12.2025 № 556-а
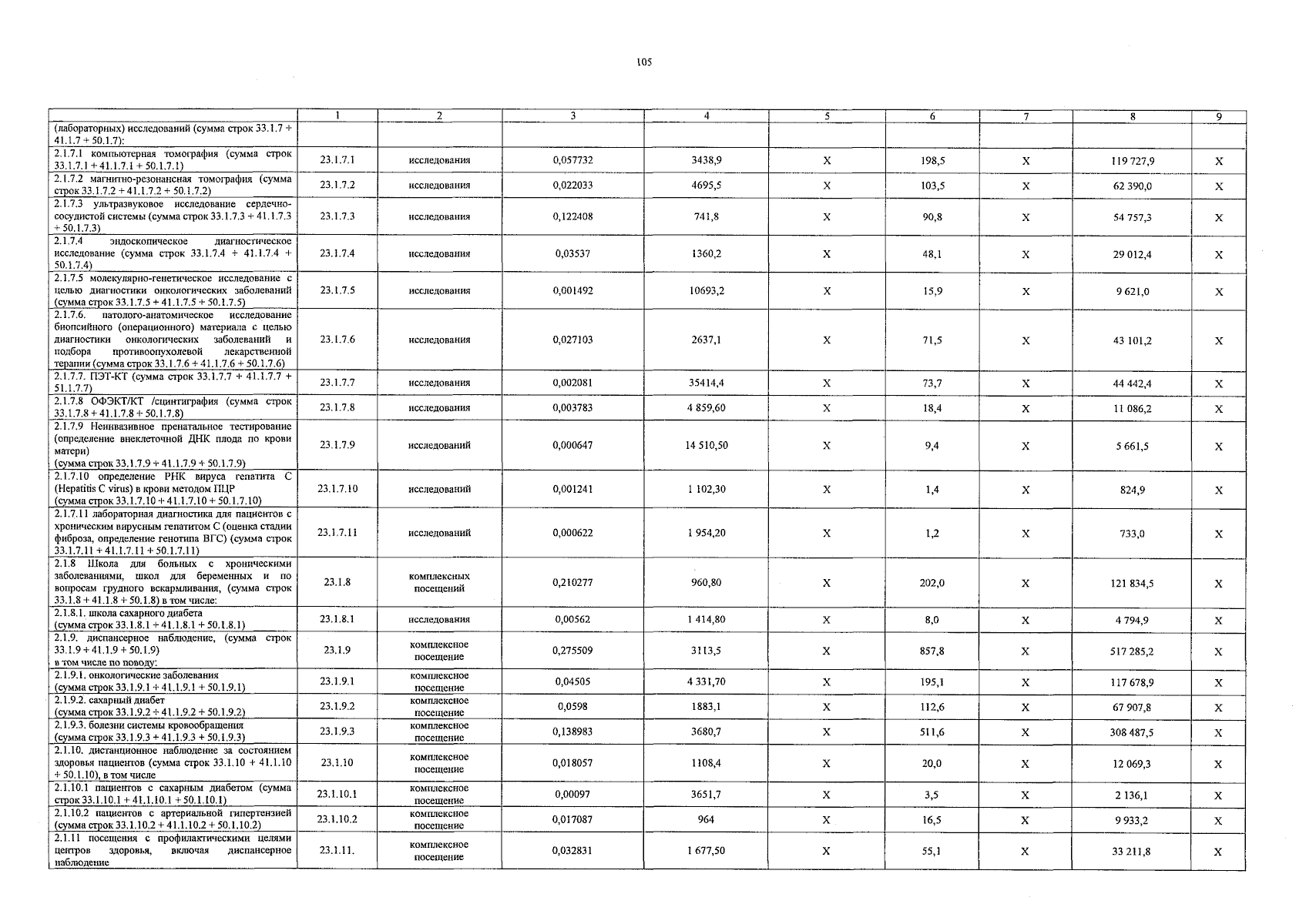
"О программе государственных гарантий бесплатного оказания гражданам медицинской помощи в Костромской области на 2026 год и на плановый период 2027 и 2028 годов"
Номер опубликования: 4400202512300003
Дата опубликования: 30.12.2025
Страница №109 из 191:
Увеличить