Официальное опубликование правовых актов
ОФИЦИАЛЬНОЕ ОПУБЛИКОВАНИЕ
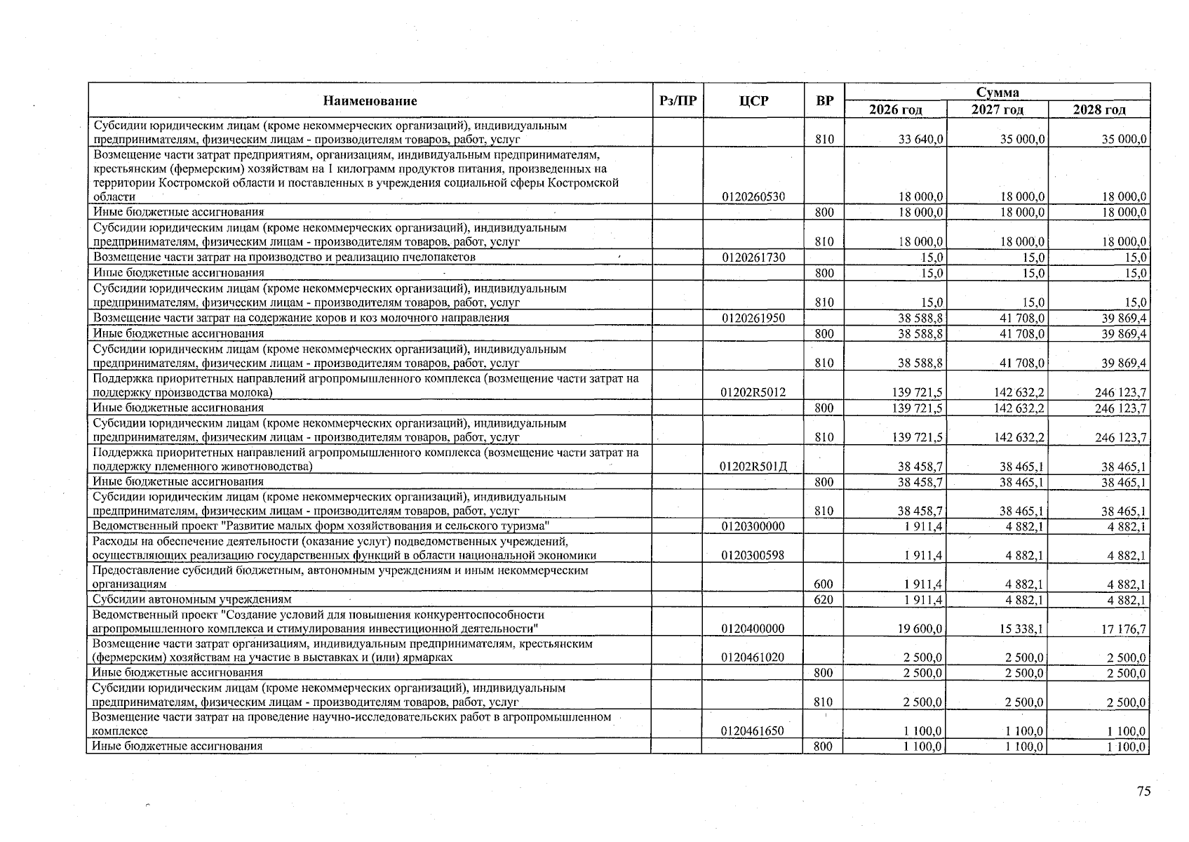
Закон Костромской области от 24.12.2025 № 31-8-ЗКО
"Об областном бюджете на 2026 год и на плановый период 2027 и 2028 годов"
Номер опубликования: 4400202512240010
Дата опубликования: 24.12.2025
Страница №75 из 339:
Увеличить