Постановление администрации Костромской области от 27.01.2025 № 23-а
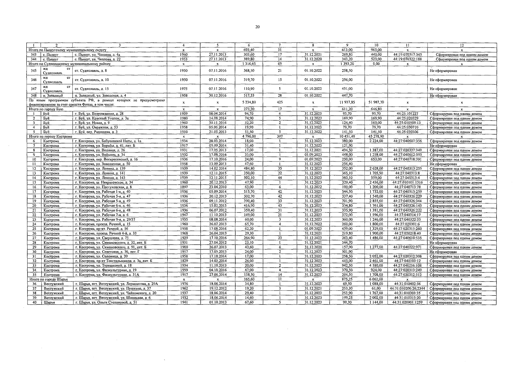
"О внесении изменений в региональную адресную программу "Переселение граждан из аварийного жилищного фонда на территории Костромской области на 2019 – 2023 годы"
"О внесении изменений в региональную адресную программу "Переселение граждан из аварийного жилищного фонда на территории Костромской области на 2019 – 2023 годы"
Номер опубликования: 4400202501280006
Дата опубликования:
28.01.2025
