Официальное опубликование правовых актов
ОФИЦИАЛЬНОЕ ОПУБЛИКОВАНИЕ
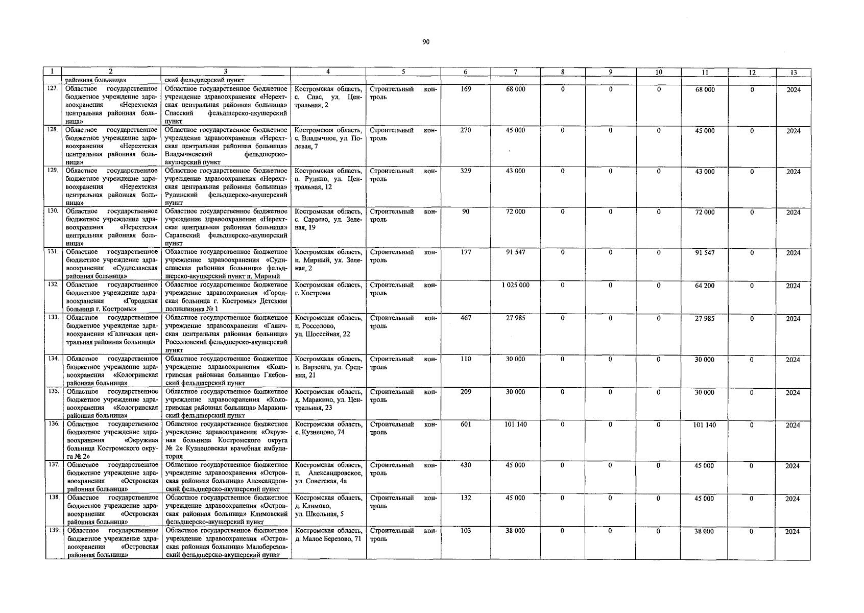
Постановление администрации Костромской области от 05.11.2024 № 384-а
"О внесении изменений в региональную программу "Модернизация первичного звена здравоохранения Костромской области"
Номер опубликования: 4400202411050008
Дата опубликования: 05.11.2024
Страница №94 из 98:
Увеличить