Официальное опубликование правовых актов
ОФИЦИАЛЬНОЕ ОПУБЛИКОВАНИЕ
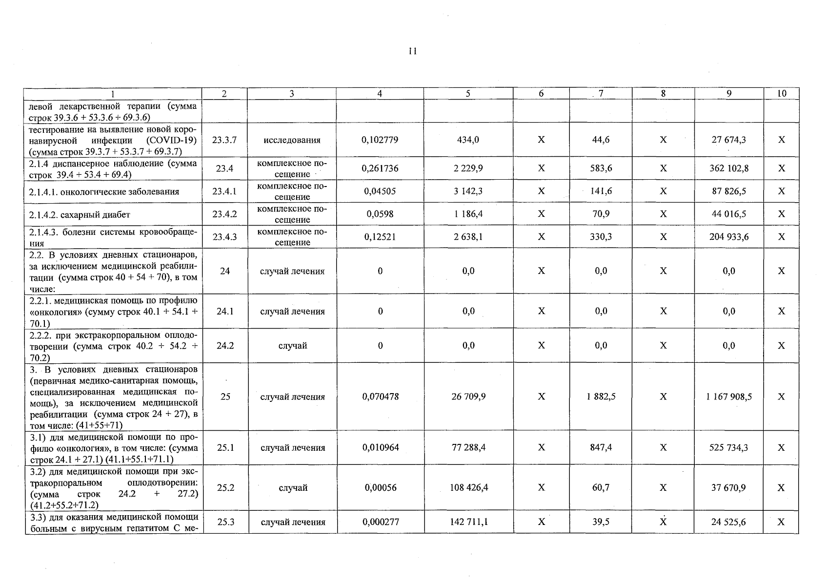
Постановление администрации Костромской области от 01.04.2024 № 100-а
"О внесении изменений в программу государственных гарантий бесплатного оказания гражданам медицинской помощи в Костромской области на 2024 год и на плановый период 2025 и 2026 годов"
Номер опубликования: 4400202404030001
Дата опубликования: 03.04.2024
Страница №18 из 30:
Увеличить