Официальное опубликование правовых актов
ОФИЦИАЛЬНОЕ ОПУБЛИКОВАНИЕ
Постановление губернатора Костромской области от 18.03.2024 № 35
"О внесении изменения в постановление губернатора Костромской области от 25.01.2019 № 17"
Номер опубликования: 4400202403180002
Дата опубликования: 18.03.2024
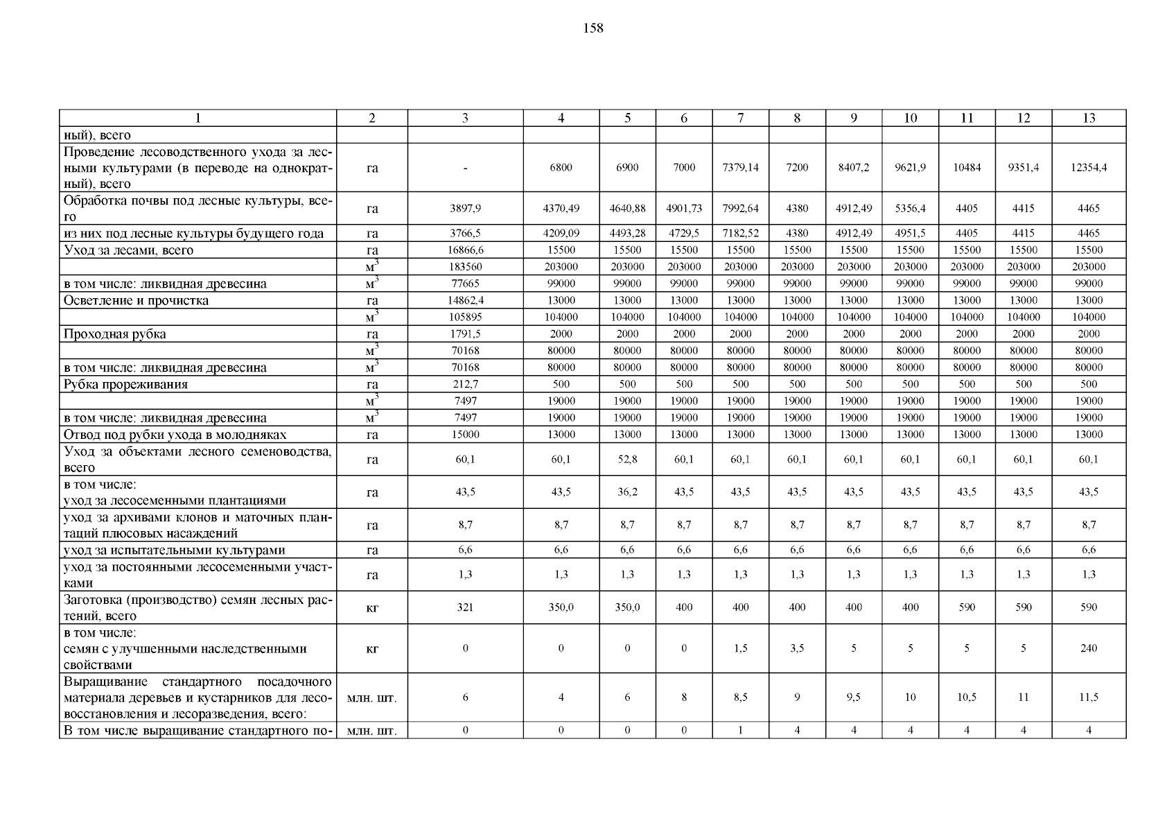
Страница №159 из 183:
Увеличить