Официальное опубликование правовых актов
ОФИЦИАЛЬНОЕ ОПУБЛИКОВАНИЕ
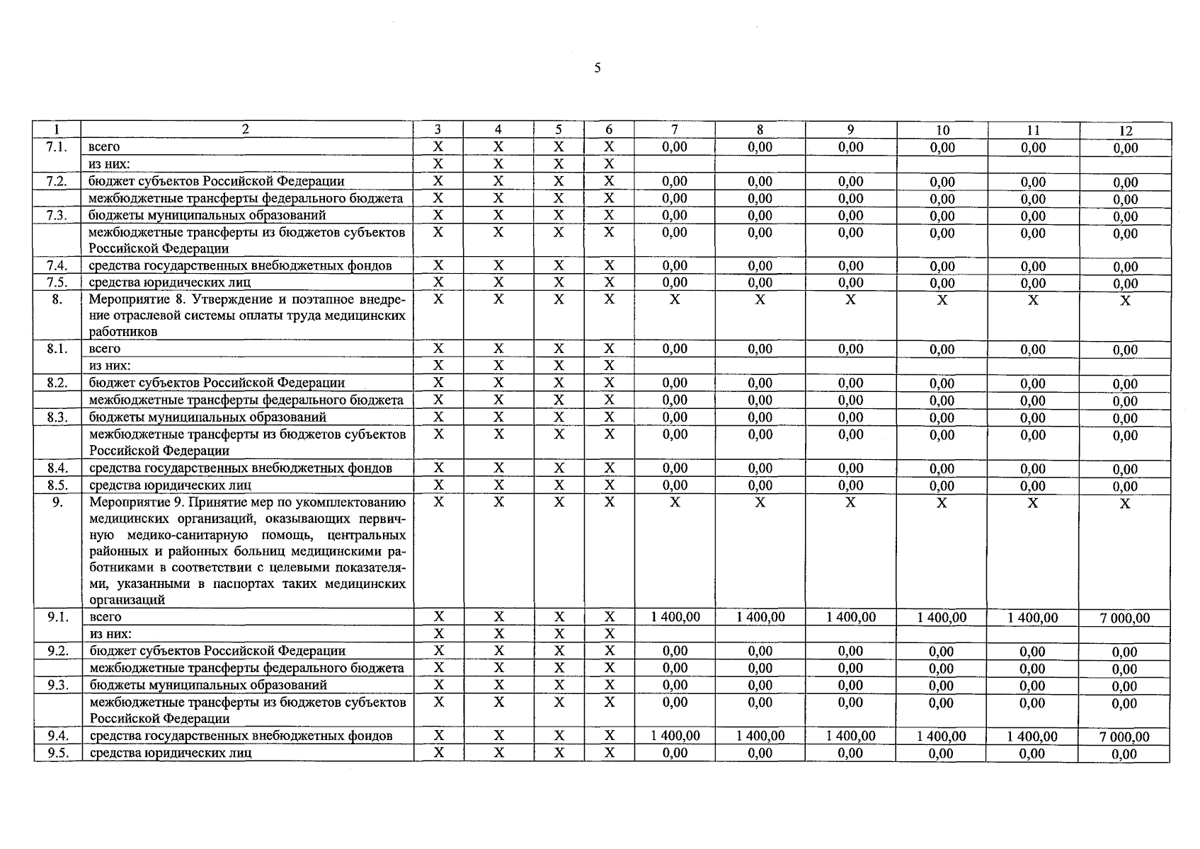
Постановление администрации Костромской области от 05.02.2024 № 21-а
"О внесении изменений в региональную программу "Модернизация первичного звена здравоохранения Костромской области"
Номер опубликования: 4400202402060001
Дата опубликования: 06.02.2024
Страница №9 из 33:
Увеличить