Официальное опубликование правовых актов
ОФИЦИАЛЬНОЕ ОПУБЛИКОВАНИЕ
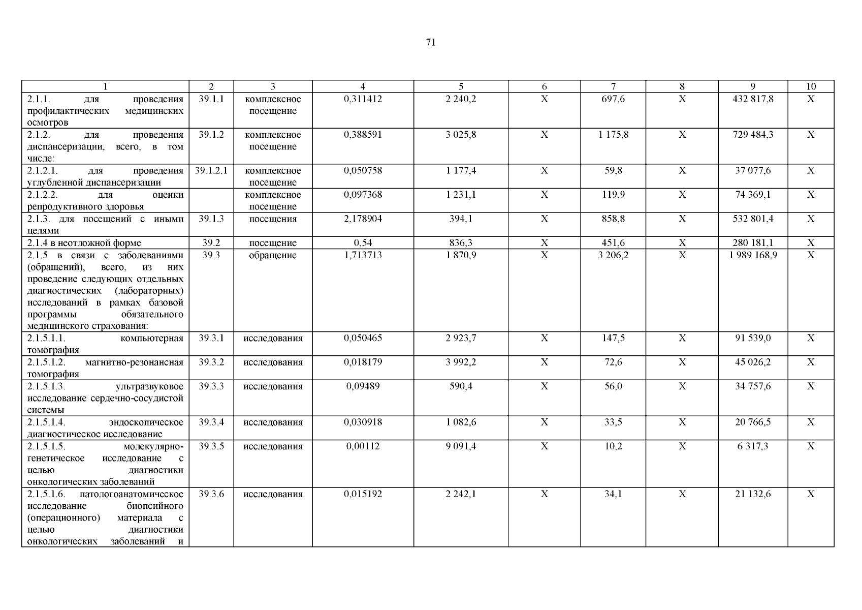
Постановление администрации Костромской области от 29.12.2023 № 616-а
"О программе государственных гарантий бесплатного оказания гражданам медицинской помощи в Костромской области на 2024 год и на плановый период 2025 и 2026 годов"
Номер опубликования: 4400202312290001
Дата опубликования: 29.12.2023
Страница №74 из 148:
Увеличить