Официальное опубликование правовых актов
ОФИЦИАЛЬНОЕ ОПУБЛИКОВАНИЕ
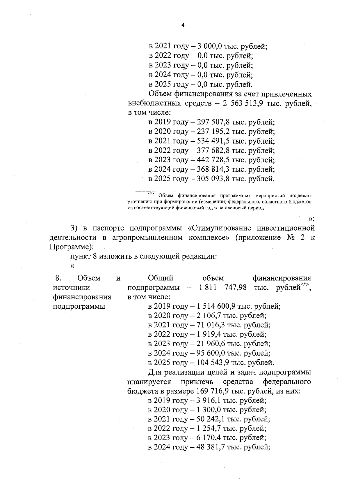
Постановление администрации Костромской области от 25.12.2023 № 597-а
"О внесении изменений в государственную программу Костромской области "Развитие сельского хозяйства и регулирование рынков сельскохозяйственной продукции, сырья и продовольствия в Костромской области"
Номер опубликования: 4400202312250007
Дата опубликования: 25.12.2023
Страница №4 из 34:
Увеличить