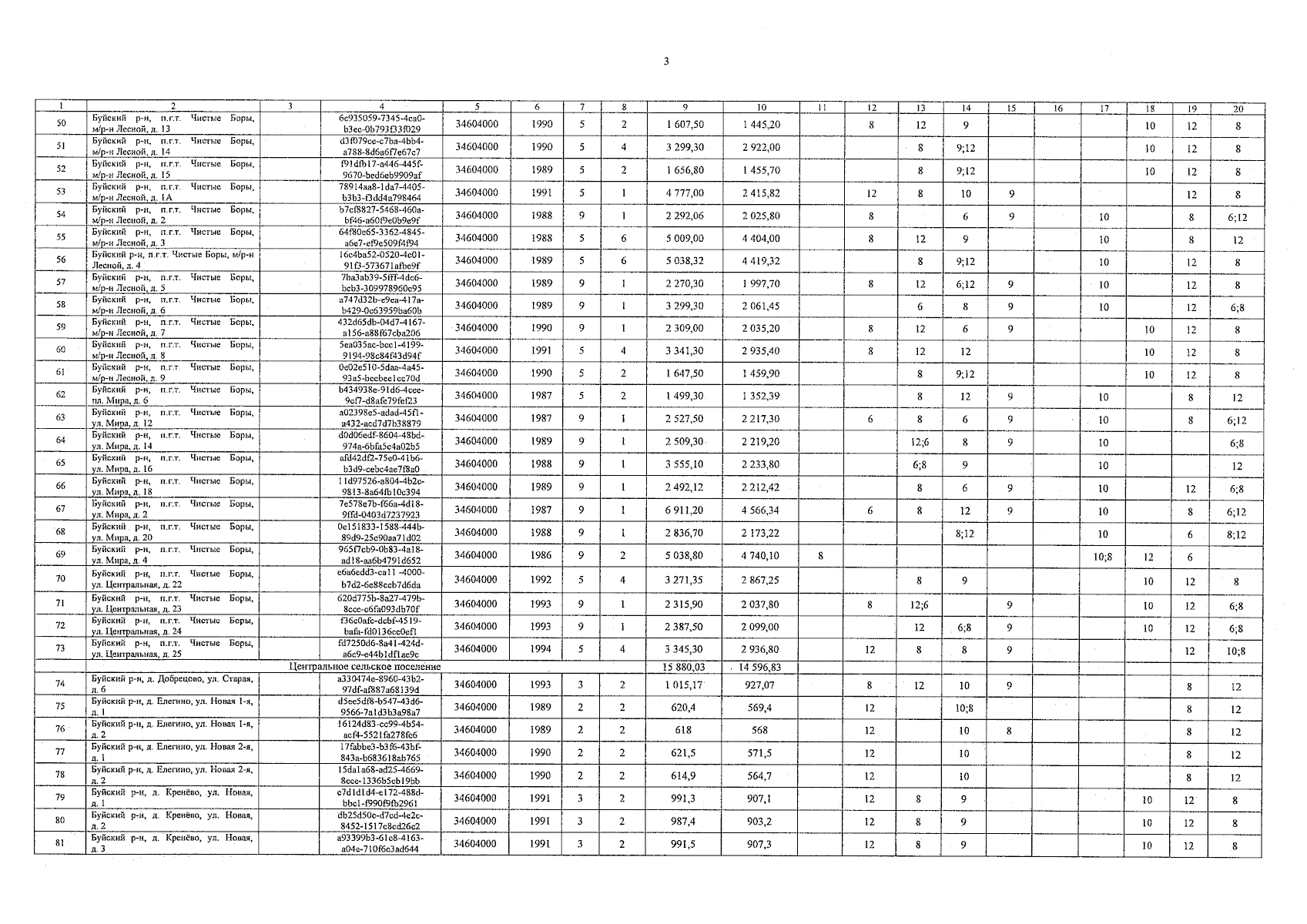
Официальное опубликование правовых актов
ОФИЦИАЛЬНОЕ ОПУБЛИКОВАНИЕ
Постановление администрации Костромской области от 28.08.2023 № 375-а
"О внесении изменений в постановление администрации Костромской области от 26.03.2014 № 100-а"
Номер опубликования: 4400202308290003
Дата опубликования: 29.08.2023
Страница №7 из 190:
Увеличить