Официальное опубликование правовых актов
ОФИЦИАЛЬНОЕ ОПУБЛИКОВАНИЕ
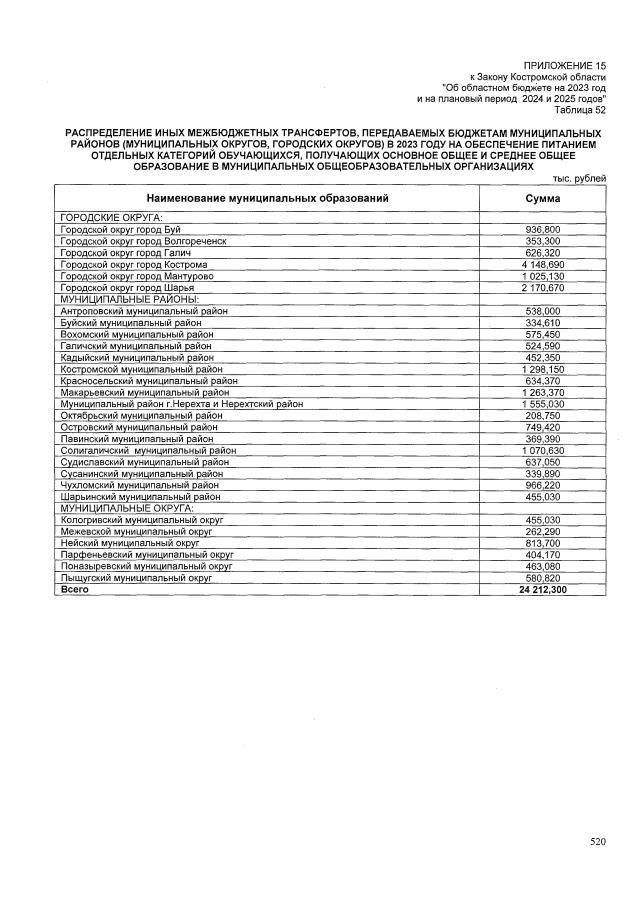
Закон Костромской области от 19.12.2022 № 297-7-ЗКО
"Об областном бюджете на 2023 год и на плановый период 2024 и 2025 годов"
Номер опубликования: 4400202212210001
Дата опубликования: 21.12.2022
Страница №520 из 585:
Увеличить