Официальное опубликование правовых актов
ОФИЦИАЛЬНОЕ ОПУБЛИКОВАНИЕ
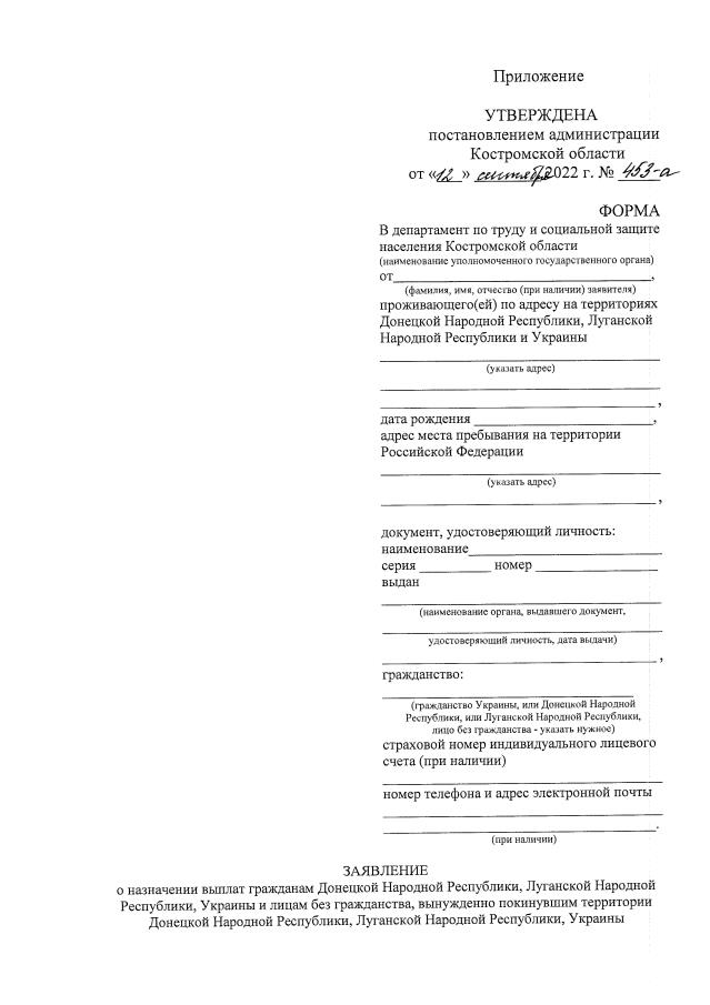
Постановление администрации Костромской области от 12.09.2022 № 453-а
"О реализации Указа Президента Российской Федерации от 27.08.2022 № 586"
Номер опубликования: 4400202209150001
Дата опубликования: 15.09.2022
Страница №3 из 5:
Увеличить