Официальное опубликование правовых актов
ОФИЦИАЛЬНОЕ ОПУБЛИКОВАНИЕ
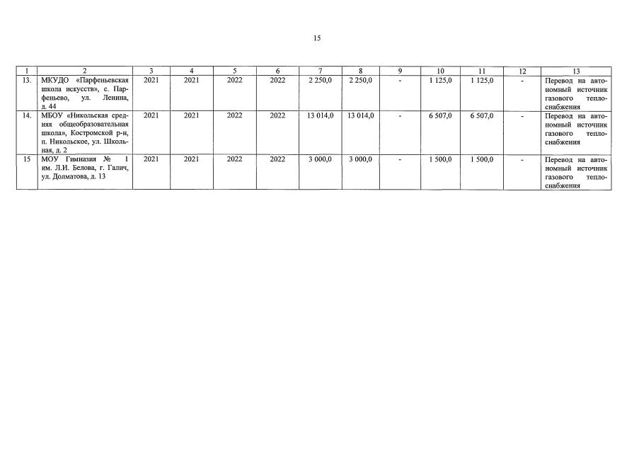
Постановление администрации Костромской области от 28.03.2022 № 120-а
"О внесении изменений в постановление администрации Костромской области от 15.11.2021 № 503-а"
Номер опубликования: 4400202203290017
Дата опубликования: 29.03.2022
Страница №23 из 30:
Увеличить