Официальное опубликование правовых актов
ОФИЦИАЛЬНОЕ ОПУБЛИКОВАНИЕ
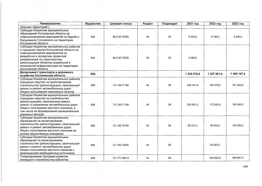
Закон Костромской области от 24.05.2021 № 93-7-ЗКО
"О внесении изменений в Закон Костромской области "Об областном бюджете на 2021 год и на плановый период 2022 и 2023 годов"
Номер опубликования: 4400202105240001
Дата опубликования: 24.05.2021
Страница №498 из 519:
Увеличить