Официальное опубликование правовых актов
ОФИЦИАЛЬНОЕ ОПУБЛИКОВАНИЕ
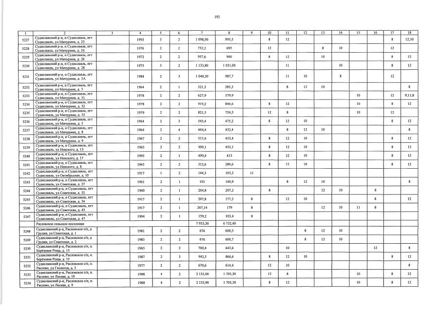
Постановление администрации Костромской области от 21.12.2020 № 599-а
"О внесении изменений в постановление администрации Костромской области от 26.03.2014 № 100-а"
Номер опубликования: 4400202012220026
Дата опубликования: 22.12.2020
Страница №194 из 200:
Увеличить