Официальное опубликование правовых актов
ОФИЦИАЛЬНОЕ ОПУБЛИКОВАНИЕ
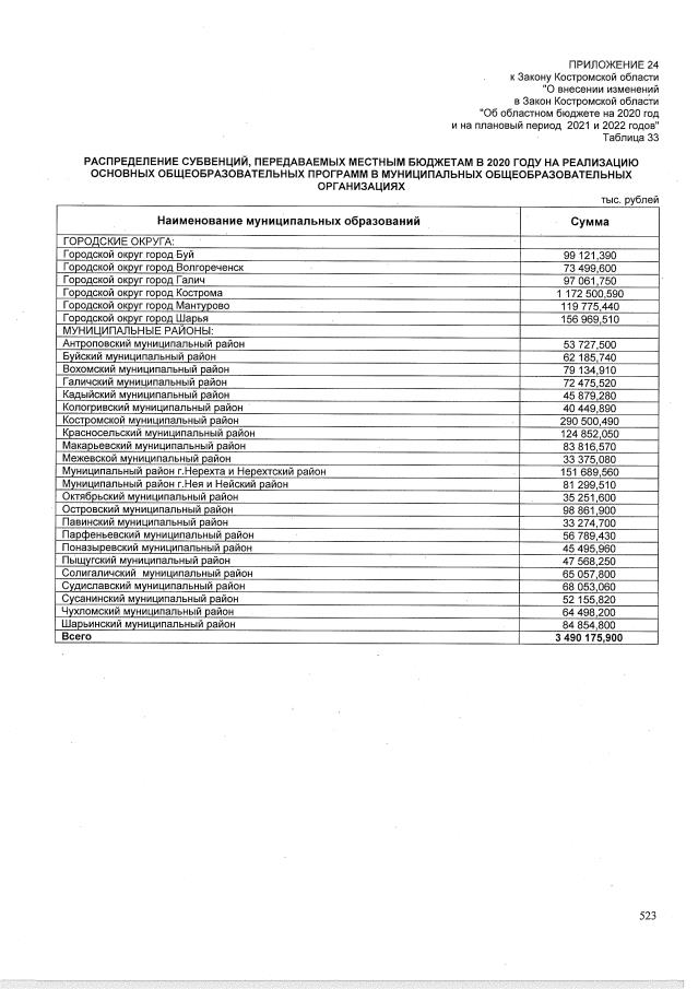
Закон Костромской области от 17.12.2020 № 35-7-ЗКО
"О внесении изменений в Закон Костромской области "Об областном бюджете на 2020 год и на плановый период 2021 и 2022 годов"
Номер опубликования: 4400202012180003
Дата опубликования: 18.12.2020
Страница №523 из 557:
Увеличить