Официальное опубликование правовых актов
ОФИЦИАЛЬНОЕ ОПУБЛИКОВАНИЕ
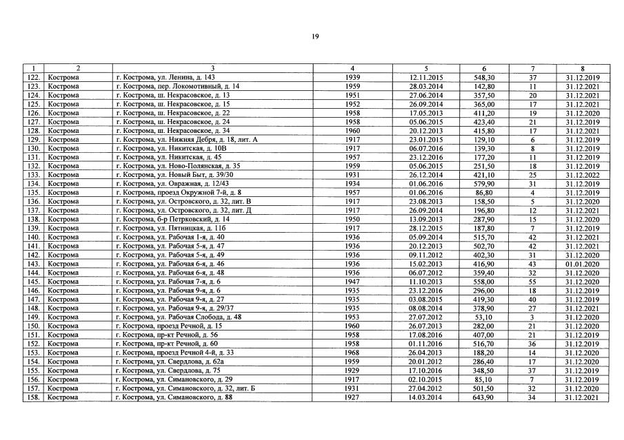
Постановление администрации Костромской области от 01.04.2019 № 115-а
"Об утверждении региональной адресной программы "Переселение граждан из аварийного жилищного фонда на территории Костромской области на 2019-2025 годы"
Номер опубликования: 4400201904020012
Дата опубликования: 02.04.2019
Страница №20 из 30:
Увеличить