Официальное опубликование правовых актов
ОФИЦИАЛЬНОЕ ОПУБЛИКОВАНИЕ
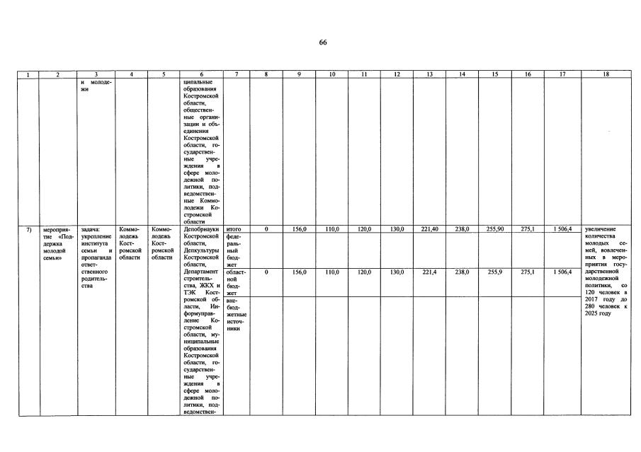
Постановление администрации Костромской области от 13.02.2019 № 31-а
"О внесении изменения в постановление администрации Костромской области от 27.07.2016 № 267-а"
Номер опубликования: 4400201902150003
Дата опубликования: 15.02.2019
Страница №67 из 94:
Увеличить