Официальное опубликование правовых актов
ОФИЦИАЛЬНОЕ ОПУБЛИКОВАНИЕ
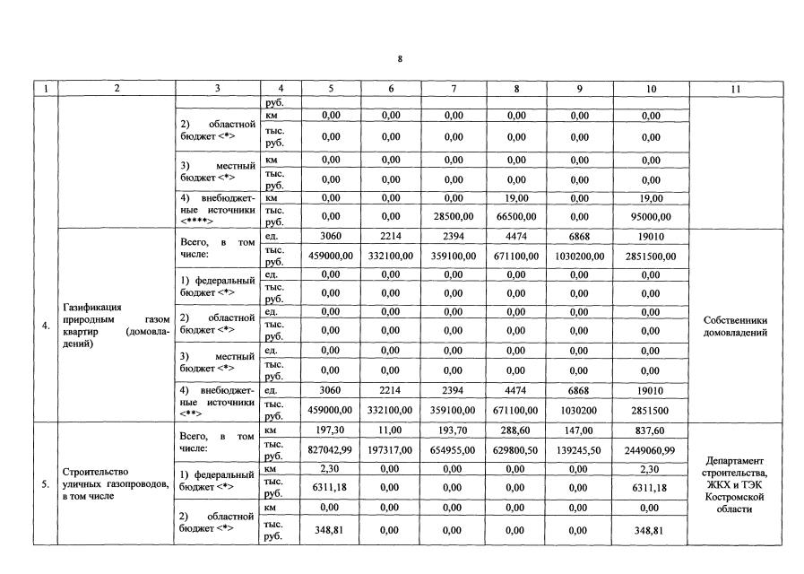
Постановление губернатора Костромской области от 28.01.2019 № 18
"Об утверждении программы газификации жилищно-коммунального хозяйства, промышленных и иных организаций Костромской области на 2019-2023 годы"
Номер опубликования: 4400201901310002
Дата опубликования: 31.01.2019
Страница №9 из 38:
Увеличить