Официальное опубликование правовых актов
ОФИЦИАЛЬНОЕ ОПУБЛИКОВАНИЕ
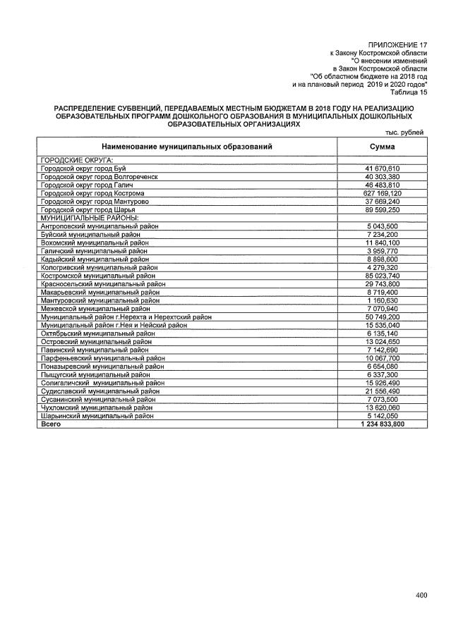
Закон Костромской области от 24.12.2018 № 494-6-ЗКО
"О внесении изменений в Закон Костромской области "Об областном бюджете на 2018 год и на плановый период 2019 и 2020 годов"
Номер опубликования: 4400201812240001
Дата опубликования: 24.12.2018
Страница №401 из 406:
Увеличить