Официальное опубликование правовых актов
ОФИЦИАЛЬНОЕ ОПУБЛИКОВАНИЕ
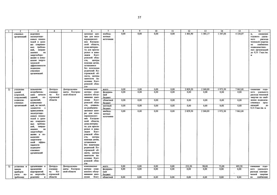
Постановление администрации Костромской области от 12.11.2018 № 457-а
"О внесении изменений в постановление администрации Костромской области от 26.12.2013 № 569-а"
Номер опубликования: 4400201811130010
Дата опубликования: 13.11.2018
Страница №64 из 66:
Увеличить