Официальное опубликование правовых актов
ОФИЦИАЛЬНОЕ ОПУБЛИКОВАНИЕ
Постановление губернатора Костромской области от 25.07.2018 № 172
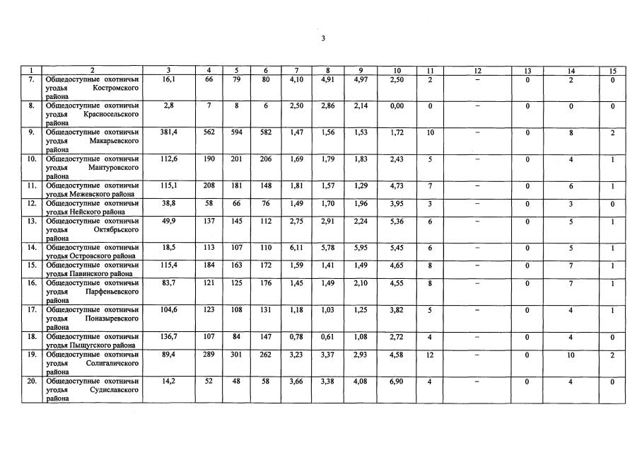
"Об утверждении лимита добычи охотничьих ресурсов на территории Костромской области (за исключением охотничьих ресурсов, находящихся на особо охраняемых природных территориях федерального значения) в период с 1 августа 2018 года до 1 августа 2019 года"
Номер опубликования: 4400201807250002
Дата опубликования: 25.07.2018
Страница №5 из 38:
Увеличить