Официальное опубликование правовых актов
ОФИЦИАЛЬНОЕ ОПУБЛИКОВАНИЕ
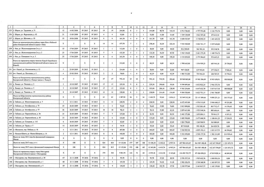
Постановление администрации Костромской области от 02.07.2018 № 280-а
"О внесении изменений в постановление администрации Костромской области от 02.05.2013 № 200-а"
Номер опубликования: 4400201807030004
Дата опубликования: 03.07.2018
Страница №23 из 58:
Увеличить