Официальное опубликование правовых актов
ОФИЦИАЛЬНОЕ ОПУБЛИКОВАНИЕ
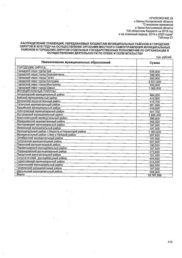
Закон Костромской области от 20.06.2018 № 400-6-ЗКО
"О внесении изменений в Закон Костромской области "Об областном бюджете на 2018 год и на плановый период 2019 и 2020 годов"
Номер опубликования: 4400201806210013
Дата опубликования: 21.06.2018
Страница №420 из 441:
Увеличить