Официальное опубликование правовых актов
ОФИЦИАЛЬНОЕ ОПУБЛИКОВАНИЕ
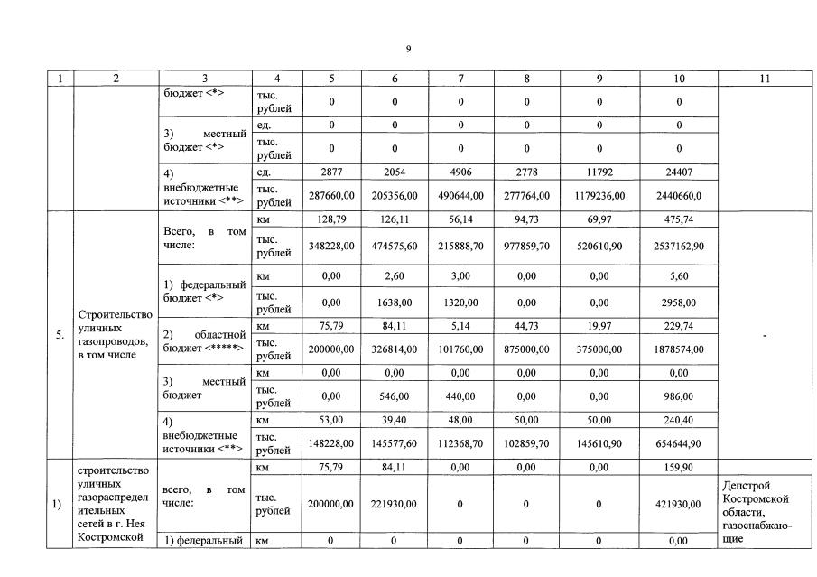
Постановление губернатора Костромской области от 25.12.2017 № 271
"Об утверждении программы газификации жилищно-коммунального хозяйства, промышленных и иных организаций Костромской области на 2018 – 2022 годы"
Номер опубликования: 4400201712260014
Дата опубликования: 26.12.2017
Страница №10 из 45:
Увеличить