Официальное опубликование правовых актов
ОФИЦИАЛЬНОЕ ОПУБЛИКОВАНИЕ
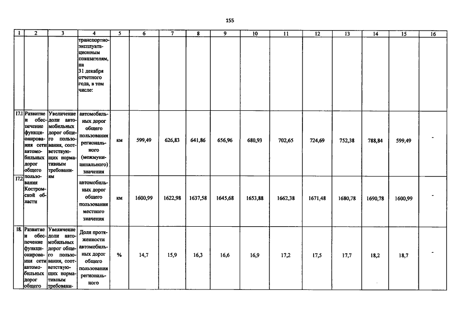
Постановление администрации Костромской области от 12.11.2015 № 402-а
"О внесении изменения в постановление администрации Костромской области от 25.02.2014 № 61-а"
Номер опубликования: 4400201511160002
Дата опубликования: 16.11.2015
Страница №156 из 220:
Увеличить