Официальное опубликование правовых актов
ОФИЦИАЛЬНОЕ ОПУБЛИКОВАНИЕ
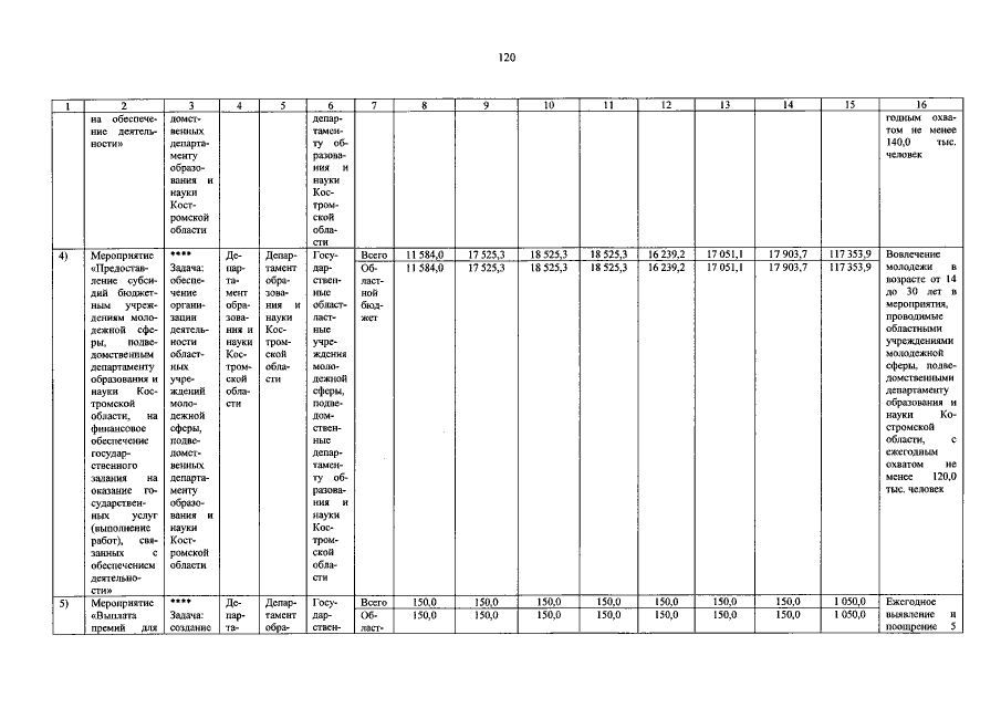
Постановление администрации Костромской области от 10.04.2015 № 133-а
"О внесении изменения в постановление администрации Костромской области от 26.12.2013 № 584-а"
Номер опубликования: 4400201504140007
Дата опубликования: 14.04.2015
Страница №121 из 213:
Увеличить