Официальное опубликование правовых актов
ОФИЦИАЛЬНОЕ ОПУБЛИКОВАНИЕ
Постановление администрации Костромской области от 29.03.2015 № 126-а
"О внесении изменений в постановление администрации Костромской области от 02.05.2013 № 200-а"
Номер опубликования: 4400201504010001
Дата опубликования: 01.04.2015
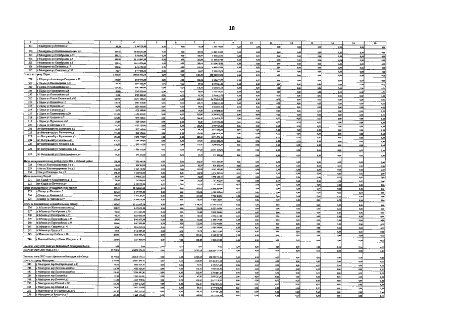
Страница №36 из 43:
Увеличить