Официальное опубликование правовых актов
ОФИЦИАЛЬНОЕ ОПУБЛИКОВАНИЕ
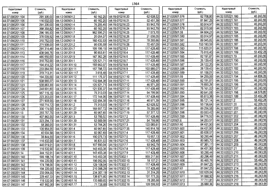
Постановление администрации Костромской области от 22.12.2014 № 543-а
"Об утверждении результатов государственной кадастровой оценки земельных участков в составе земель населенных пунктов на территории Костромской области"
Номер опубликования: 4400201412300009
Дата опубликования: 30.12.2014
Страница №1365 из 1559:
Увеличить