Официальное опубликование правовых актов
ОФИЦИАЛЬНОЕ ОПУБЛИКОВАНИЕ
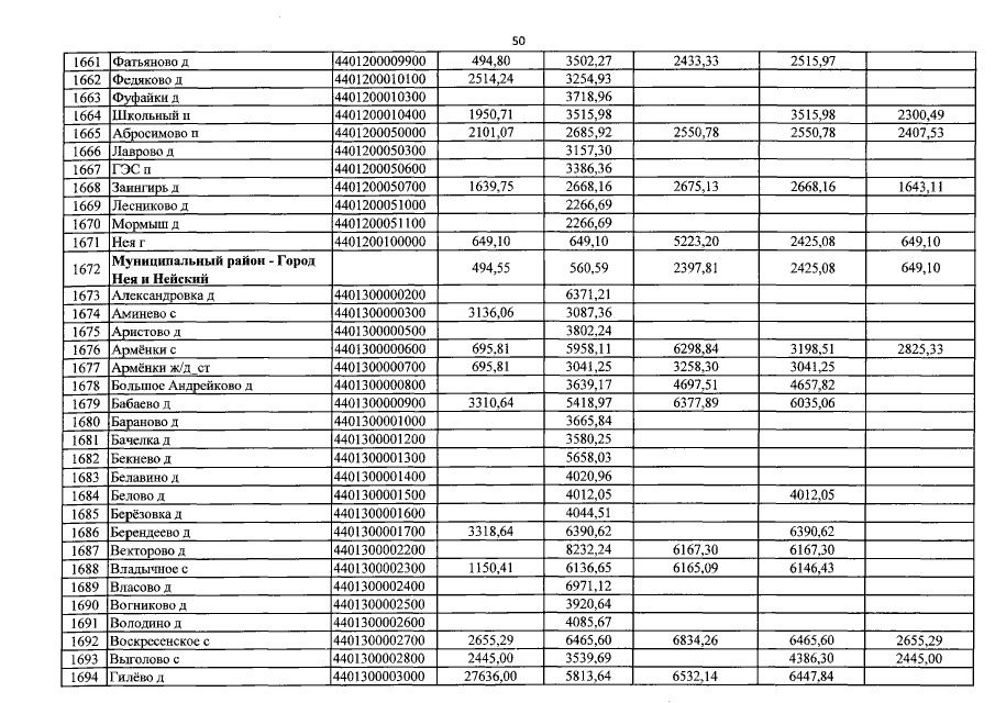
Постановление администрации Костромской области от 28.10.2014 № 441-а
"О внесении изменения в постановление администрации Костромской области от 26.09.2012 № 377-а"
Номер опубликования: 4400201410300021
Дата опубликования: 30.10.2014
Страница №51 из 254:
Увеличить