Официальное опубликование правовых актов
ОФИЦИАЛЬНОЕ ОПУБЛИКОВАНИЕ
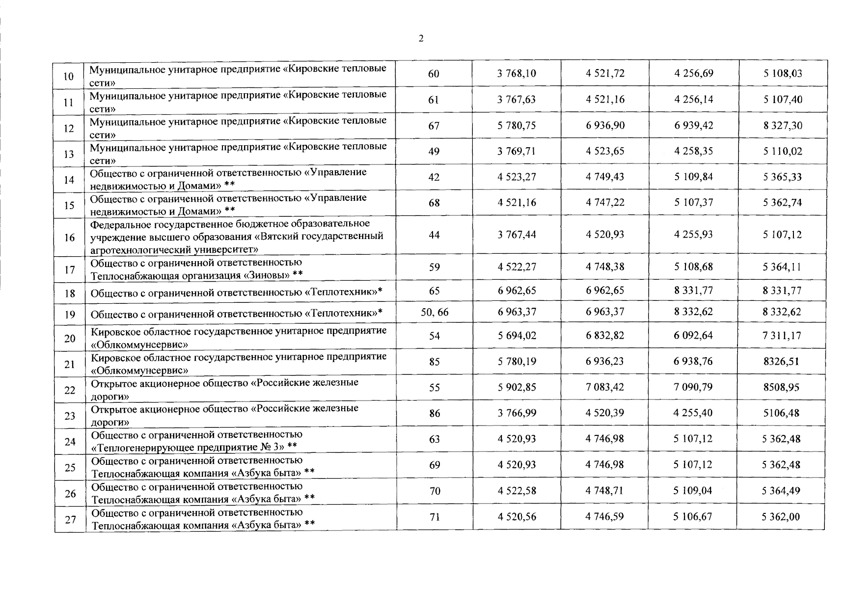
Решение правления региональной службы по тарифам Кировской области от 12.11.2025 № 37/1-тэ-2026
"Об утверждении индикативного предельного уровня цены на тепловую энергию (мощность) в ценовой зоне теплоснабжения -муниципальном образовании "Город Киров" на 2026 год"
(Зарегистрирован 20.11.2025 № 2669)
Номер опубликования: 4301202511240003
Дата опубликования: 24.11.2025
Страница №4 из 5:
Увеличить