Официальное опубликование правовых актов
ОФИЦИАЛЬНОЕ ОПУБЛИКОВАНИЕ
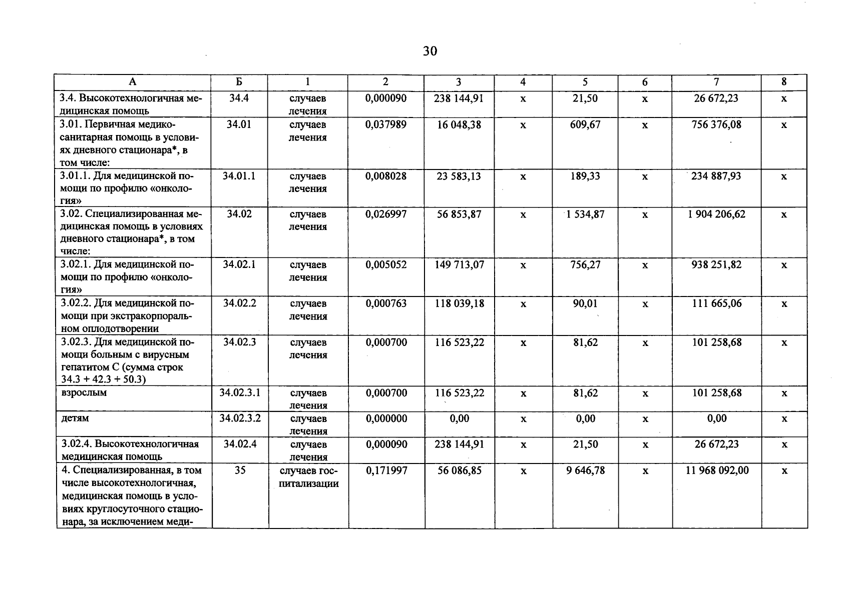
Постановление Правительства Кировской области от 25.12.2025 № 707-П
"О внесении изменений в постановление Правительства Кировской области от 28.12.2024 № 643-П "Об утверждении Территориальной программы государственных гарантий бесплатного оказания гражданам медицинской помощи на территории Кировской области на 2025 год и на плановый период 2026 и 2027 годов и о признании утратившими силу некоторых постановлений Правительства Кировской области"
Номер опубликования: 4300202512300017
Дата опубликования: 30.12.2025
Страница №31 из 45:
Увеличить