Официальное опубликование правовых актов
ОФИЦИАЛЬНОЕ ОПУБЛИКОВАНИЕ
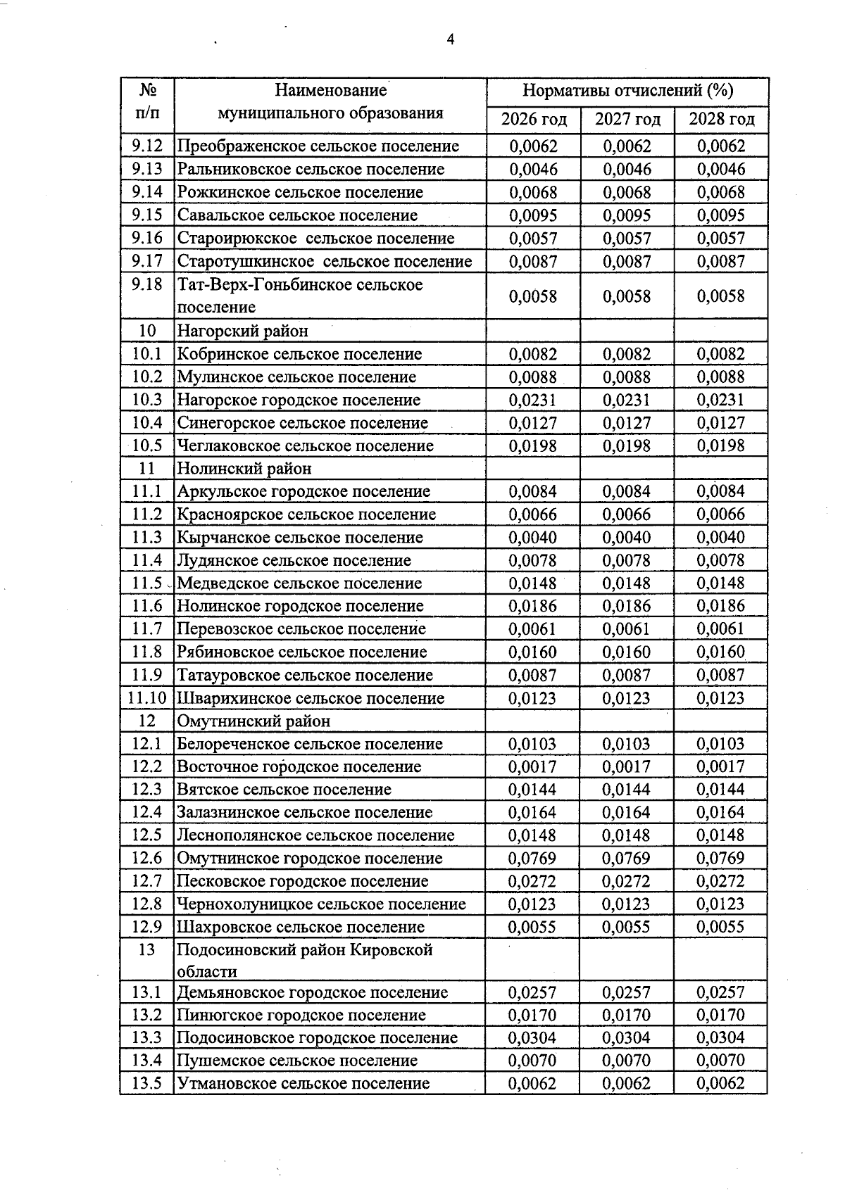
Закон Кировской области от 18.12.2025 № 450-ЗО
"Об областном бюджете на 2026 год и на плановый период 2027 и 2028 годов"
Номер опубликования: 4300202512230022
Дата опубликования: 23.12.2025
Страница №44 из 831:
Увеличить