Официальное опубликование правовых актов
ОФИЦИАЛЬНОЕ ОПУБЛИКОВАНИЕ
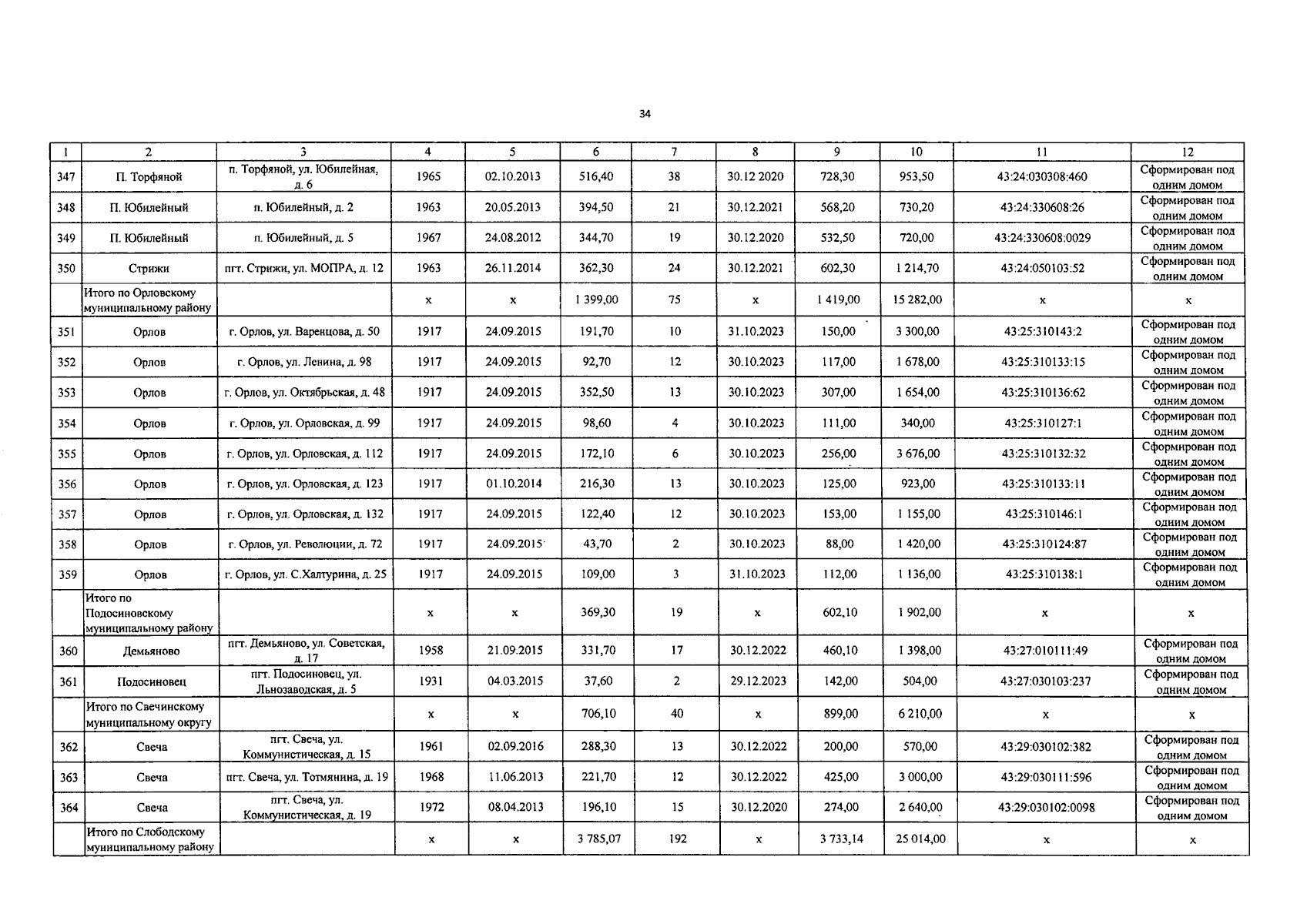
Постановление Правительства Кировской области от 24.06.2025 № 319-П
"О внесении изменений в постановление Правительства Кировской области от 27.03.2019 № 113-П "Об областной адресной программе "Переселение граждан, проживающих на территории Кировской области, из аварийного жилищного фонда, признанного таковым до 1 января 2017 года"
Номер опубликования: 4300202506260009
Дата опубликования: 26.06.2025
Страница №35 из 40:
Увеличить