Официальное опубликование правовых актов
ОФИЦИАЛЬНОЕ ОПУБЛИКОВАНИЕ
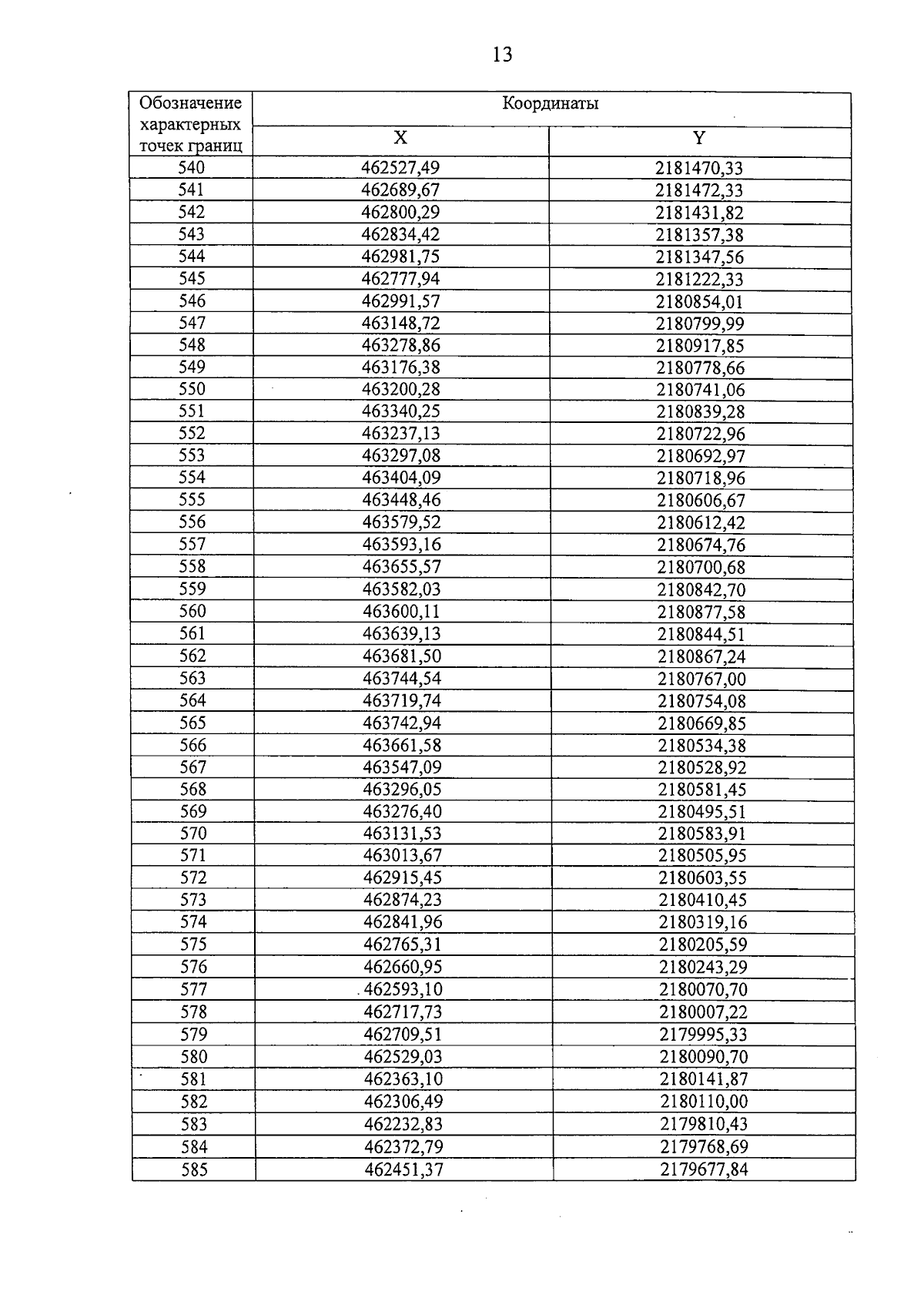
Указ Губернатора Кировской области от 04.03.2025 № 30
"Об охранной зоне памятника природы регионального значения "Беляевский бор"
Номер опубликования: 4300202503040004
Дата опубликования: 04.03.2025
Страница №14 из 23:
Увеличить