Официальное опубликование правовых актов
ОФИЦИАЛЬНОЕ ОПУБЛИКОВАНИЕ
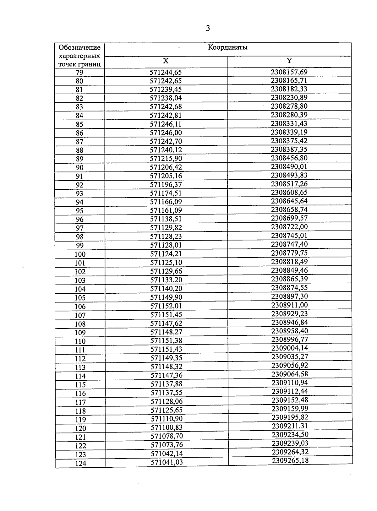
Указ Губернатора Кировской области от 28.12.2024 № 207
"Об охранной зоне памятника природы регионального значения "Низевский таежно-болотный комплекс"
Номер опубликования: 4300202412290042
Дата опубликования: 29.12.2024
Страница №5 из 28:
Увеличить