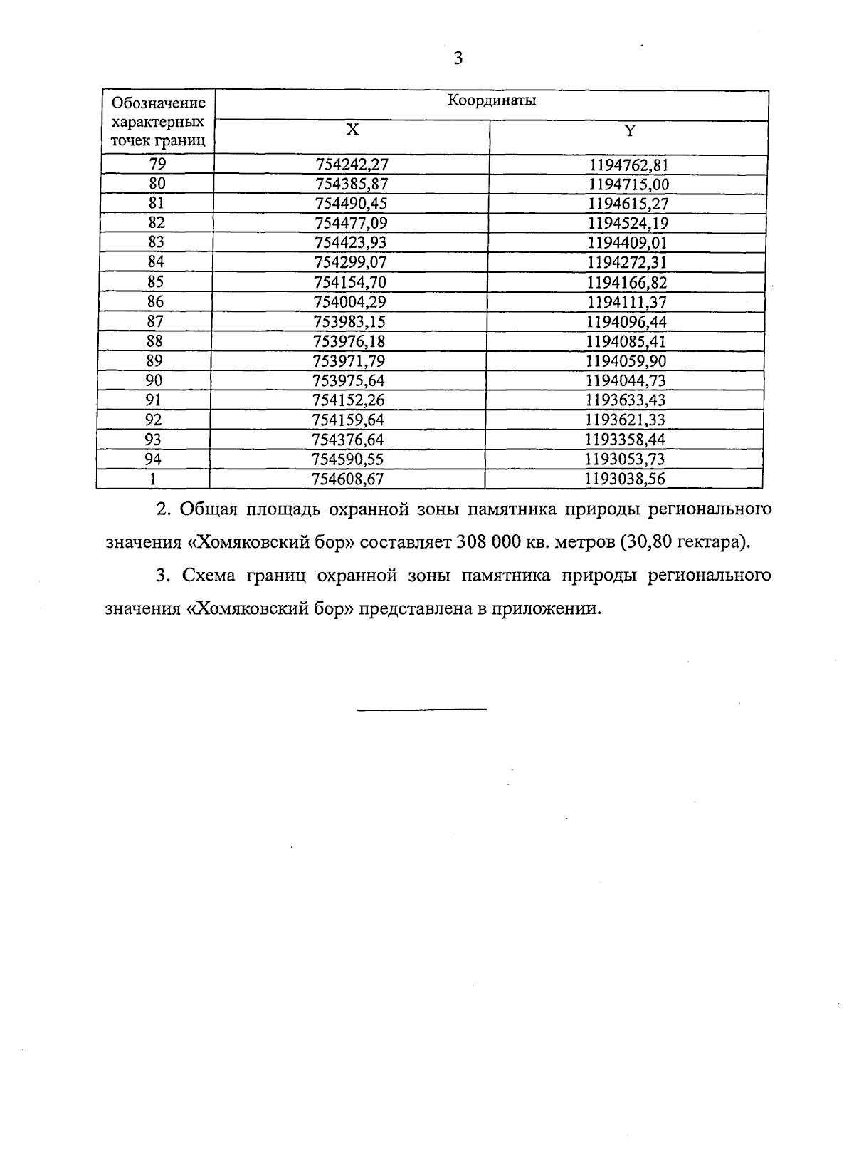
Указ Губернатора Кировской области от 28.12.2024 № 202
"Об охранной зоне памятника природы регионального значения "Хомяковский бор"
"Об охранной зоне памятника природы регионального значения "Хомяковский бор"
Номер опубликования: 4300202412290010
Дата опубликования:
29.12.2024
