Официальное опубликование правовых актов
ОФИЦИАЛЬНОЕ ОПУБЛИКОВАНИЕ
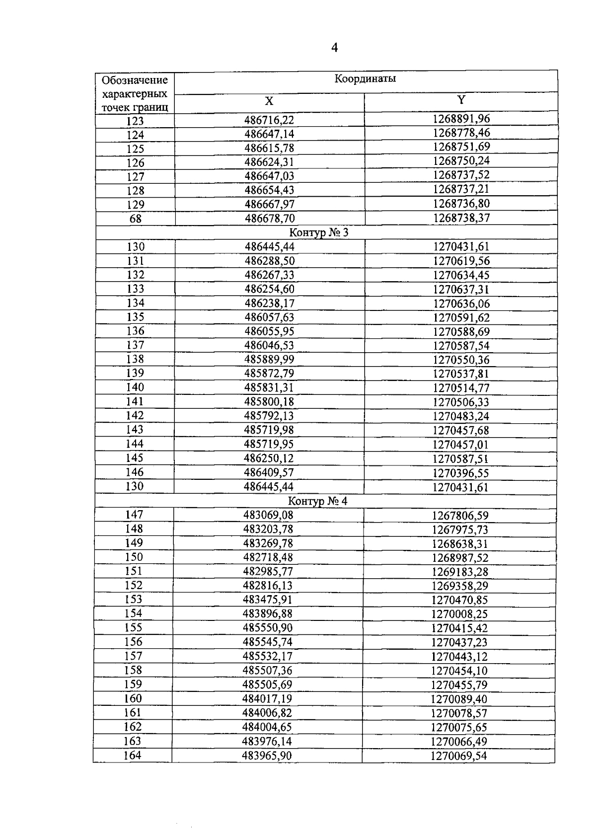
Указ Губернатора Кировской области от 28.12.2024 № 208
"Об охранной зоне памятника природы регионального значения "Урочище "Васин бор"
Номер опубликования: 4300202412290001
Дата опубликования: 29.12.2024
Страница №6 из 15:
Увеличить