Официальное опубликование правовых актов
ОФИЦИАЛЬНОЕ ОПУБЛИКОВАНИЕ
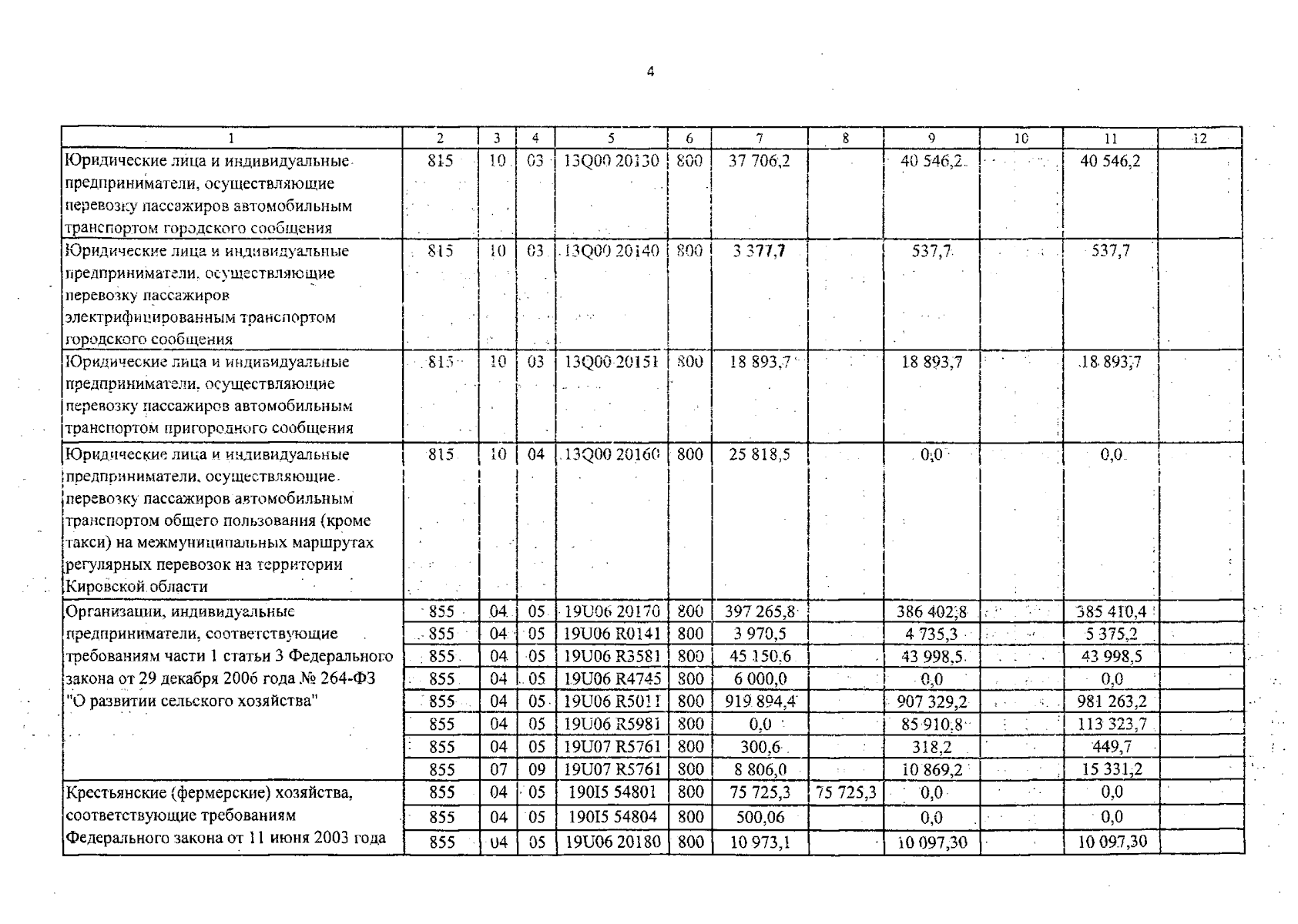
Закон Кировской области от 28.10.2024 № 318-ЗО
"О внесении изменений в Закон Кировской области "Об областном бюджете на 2024 год и на плановый период 2025 и 2026 годов"
Номер опубликования: 4300202411010029
Дата опубликования: 01.11.2024
Страница №403 из 525:
Увеличить