Официальное опубликование правовых актов
ОФИЦИАЛЬНОЕ ОПУБЛИКОВАНИЕ
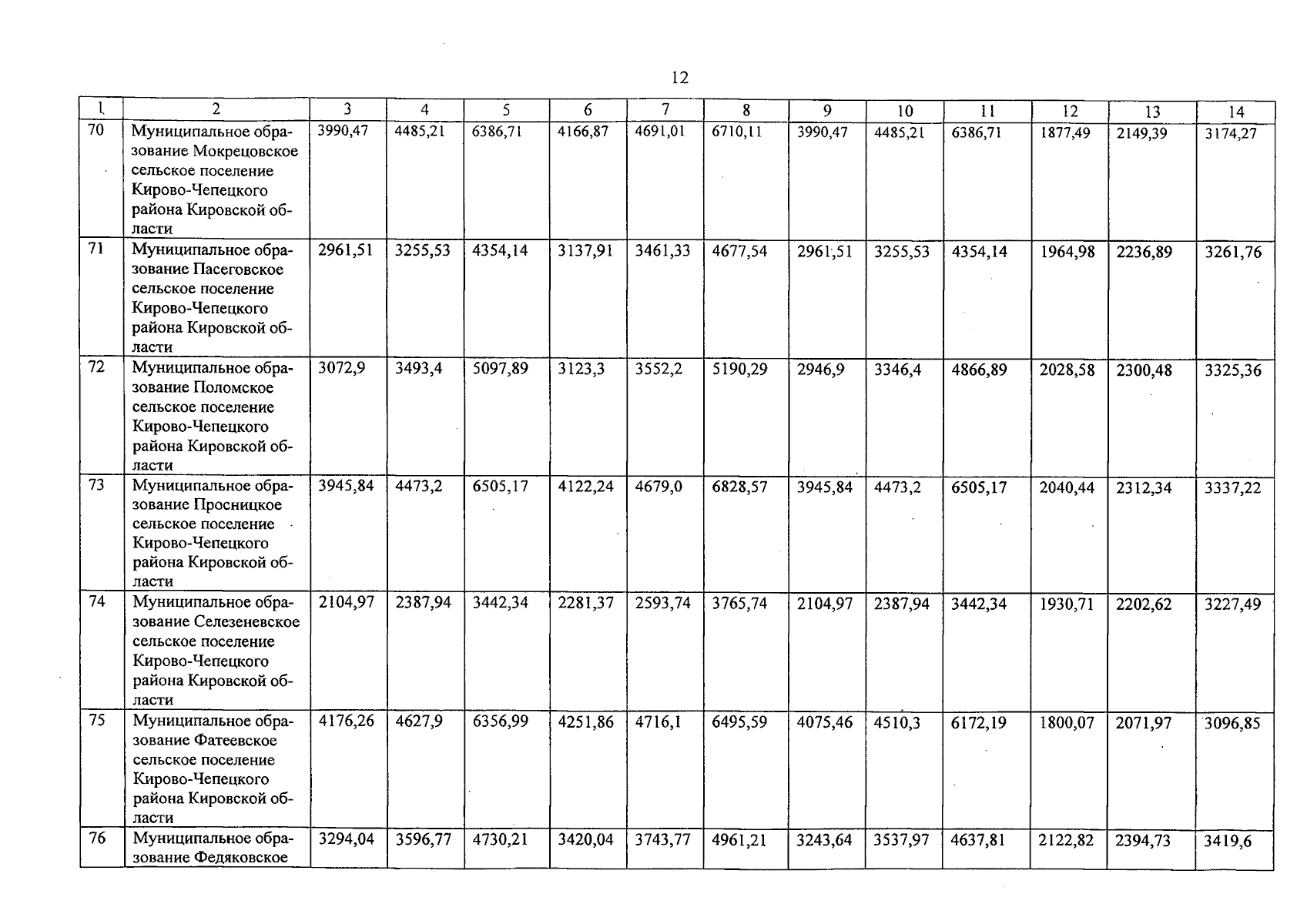
Постановление Правительства Кировской области от 03.10.2024 № 420-П
"О внесении изменения в постановление Правительства Кировской области от 28.06.2018 № 312-П "Об установлении сезонных региональных стандартов стоимости жилищно-коммунальных услуг для предоставления субсидий на оплату жилого помещения и коммунальных услуг по муниципальным образованиям области"
Номер опубликования: 4300202410070001
Дата опубликования: 07.10.2024
Страница №14 из 40:
Увеличить