Официальное опубликование правовых актов
ОФИЦИАЛЬНОЕ ОПУБЛИКОВАНИЕ
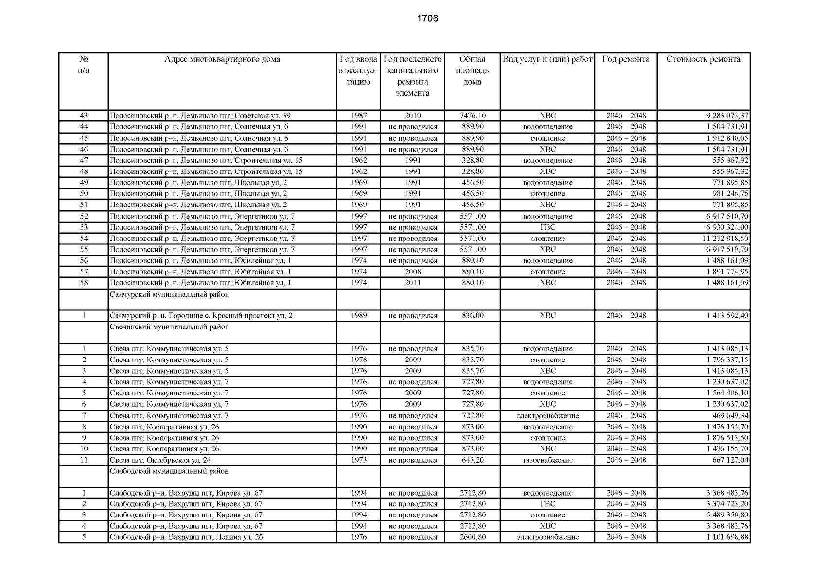
Постановление Правительства Кировской области от 16.07.2024 № 305-П
"О внесении изменений в постановление Правительства Кировской области от 21.03.2014 № 254/210 "Об областной программе "Капитальный ремонт общего имущества многоквартирных домов в Кировской области"
Номер опубликования: 4300202407180001
Дата опубликования: 18.07.2024
Страница №1709 из 2087:
Увеличить