Официальное опубликование правовых актов
ОФИЦИАЛЬНОЕ ОПУБЛИКОВАНИЕ
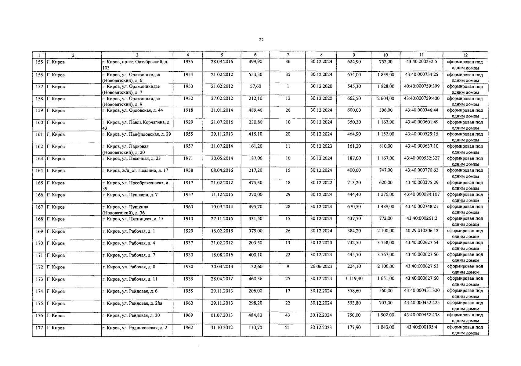
Постановление Правительства Кировской области от 01.02.2024 № 26-П
"О внесении изменений в постановление Правительства Кировской области от 27.03.2019 № 113-П "Об областной адресной программе "Переселение граждан, проживающих на территории Кировской области, из аварийного жилищного фонда, признанного таковым до 1 января 2017 года"
Номер опубликования: 4300202402020004
Дата опубликования: 02.02.2024
Страница №23 из 42:
Увеличить