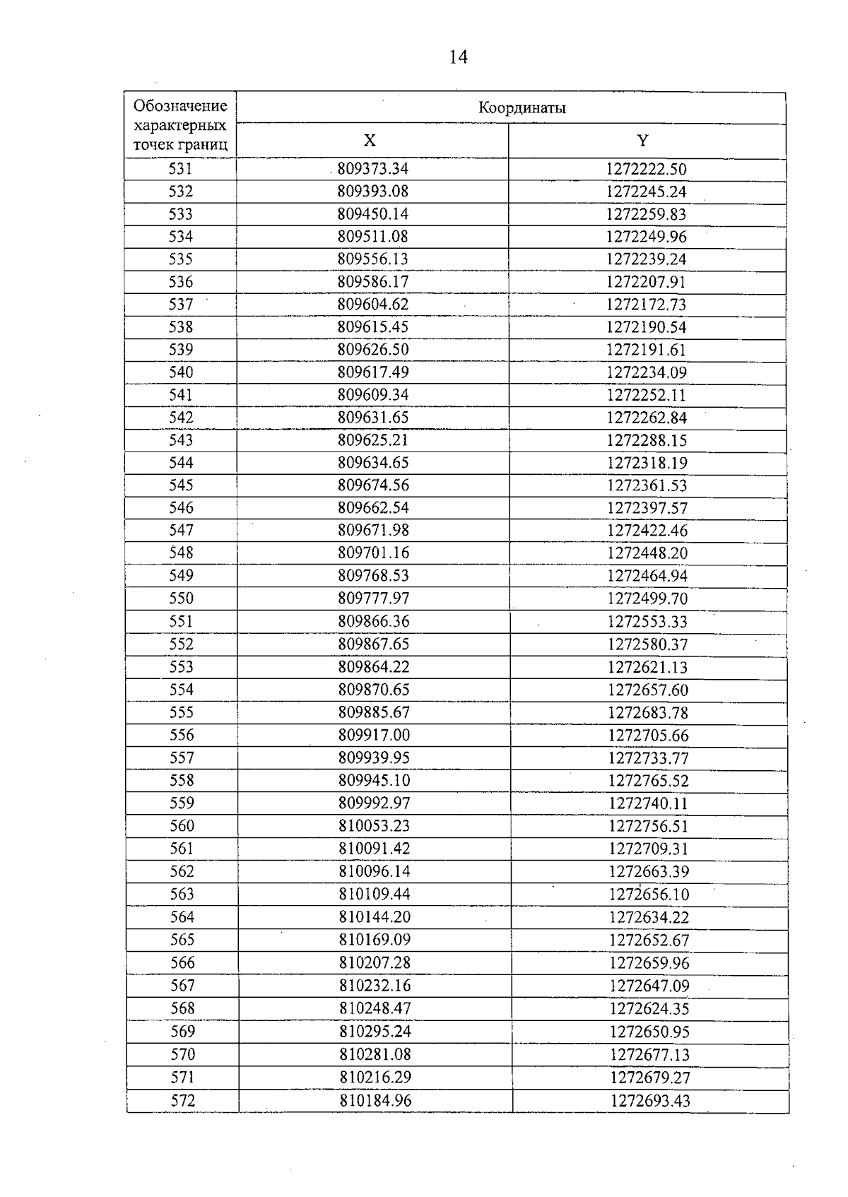
Указ Губернатора Кировской области от 29.12.2023 № 183
"Об охранной зоне памятника природы регионального значения "Сомовский сосновый бор"
"Об охранной зоне памятника природы регионального значения "Сомовский сосновый бор"
Номер опубликования: 4300202312300016
Дата опубликования:
30.12.2023
