Официальное опубликование правовых актов
ОФИЦИАЛЬНОЕ ОПУБЛИКОВАНИЕ
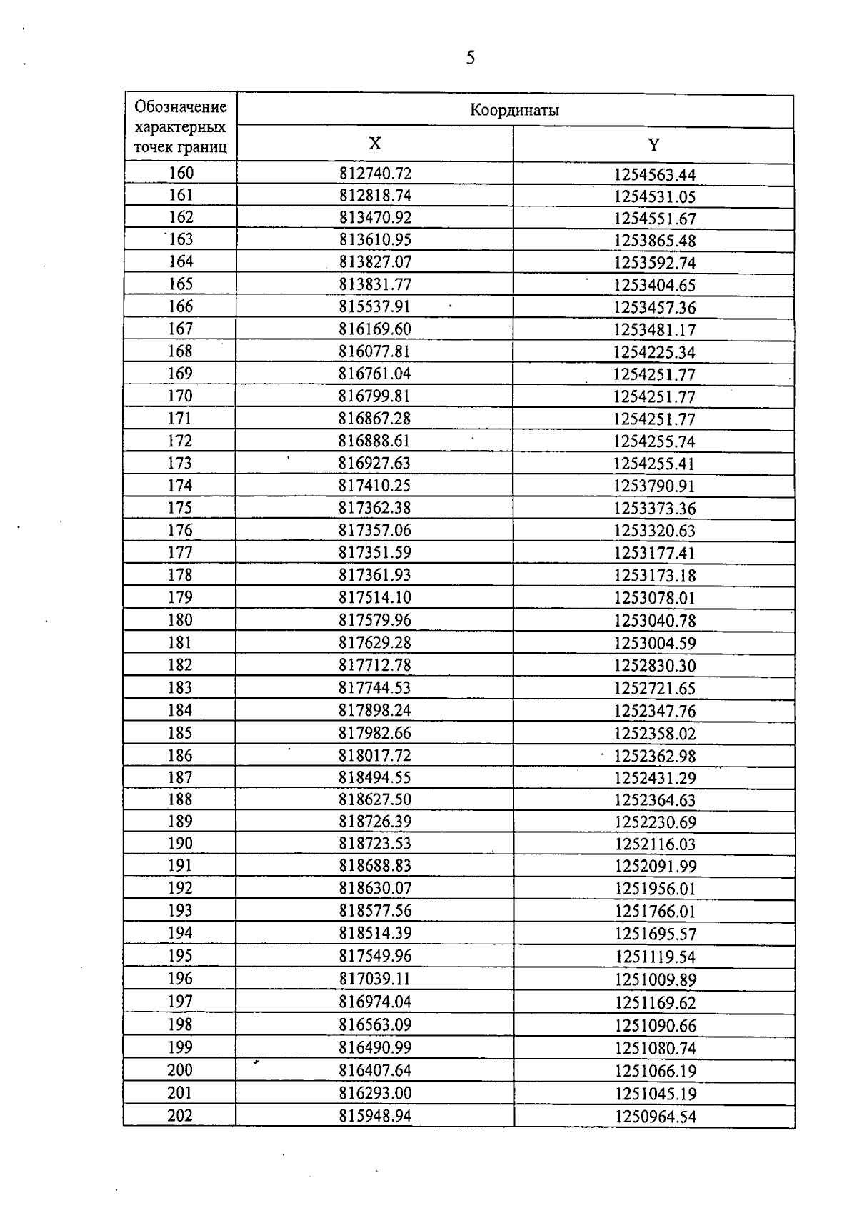
Указ Губернатора Кировской области от 29.12.2023 № 195
"Об охранной зоне памятника природы регионального значения "Сосновый бор "Заборье"
Номер опубликования: 4300202312300011
Дата опубликования: 30.12.2023
Страница №6 из 13:
Увеличить