Официальное опубликование правовых актов
ОФИЦИАЛЬНОЕ ОПУБЛИКОВАНИЕ
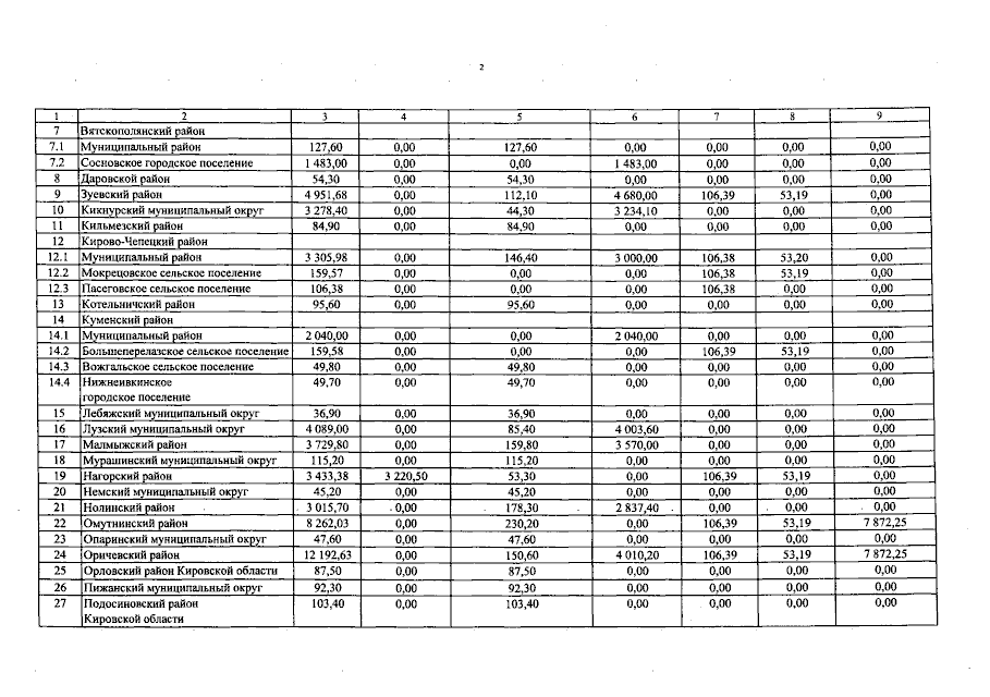
Закон Кировской области от 29.06.2023 № 187-ЗО
"О внесении изменений в Закон Кировской области "Об областном бюджете на 2023 год и на плановый период 2024 и 2025 годов"
Номер опубликования: 4300202307030003
Дата опубликования: 03.07.2023
Страница №447 из 513:
Увеличить