Официальное опубликование правовых актов
ОФИЦИАЛЬНОЕ ОПУБЛИКОВАНИЕ
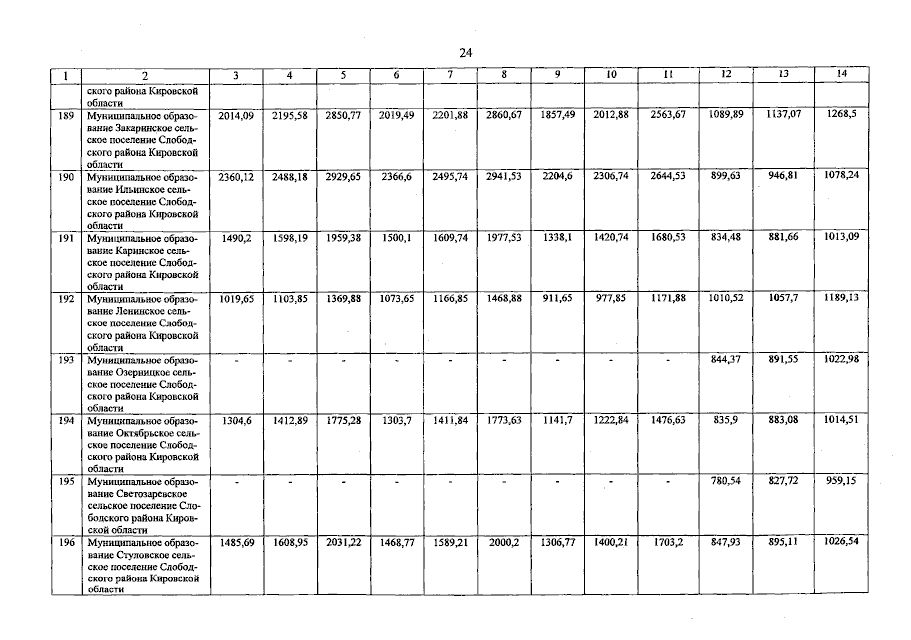
Постановление Правительства Кировской области от 09.06.2023 № 326-П
"О внесении изменения в постановление Правительства Кировской области от 28.06.2018 № 312-П "Об установлении сезонных региональных стандартов стоимости жилищно-коммунальных услуг для предоставления субсидий на оплату жилого помещения и коммунальных услуг по муниципальным образованиям области"
Номер опубликования: 4300202306150020
Дата опубликования: 15.06.2023
Страница №25 из 33:
Увеличить