Официальное опубликование правовых актов
ОФИЦИАЛЬНОЕ ОПУБЛИКОВАНИЕ
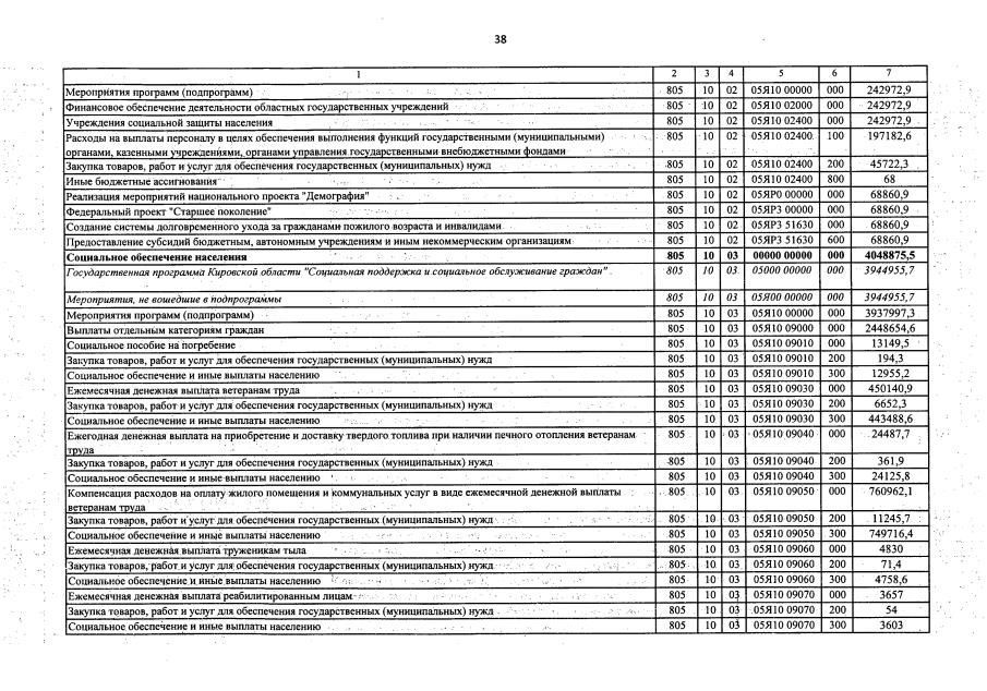
Закон Кировской области от 21.12.2021 № 25-ЗО
"Об областном бюджете на 2022 год и на плановый период 2023 и 2024 годов"
Номер опубликования: 4300202112270015
Дата опубликования: 27.12.2021
Страница №255 из 610:
Увеличить